• Предмет: Алгебра
  • Автор: kamron971
  • Вопрос задан 10 лет назад

Пожалуйста покажите как Решить! фото с решением плиз !(10бал)

Приложения:

Ответы

Ответ дал: arsenlevadniy
0
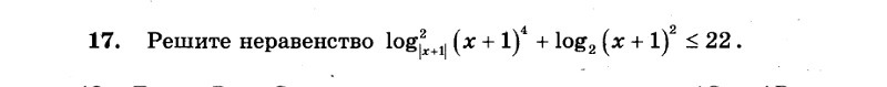
log^2_{|x+1|}(x+1)^4+log_2(x+1)^2leq22, \ left{begin{array}{c}|x+1| textgreater  0,\|x+1|neq1,\(x+1)^4 textgreater  0,\(x+1)^2 textgreater  0;end{array}right. left{begin{array}{c}x+1neq0,\x+1neq1,\x+1neq-1;end{array}right. left{begin{array}{c}xneq-1,\xneq0,\xneq-2;end{array}right. \ 4^2log^2_{|x+1|}|x+1|+2log_2|x+1|leq22, \ 16+2log_2|x+1|leq22, \ 2log_2|x+1|leq6, \ log_2|x+1|leq3,
 left [ {{log_2(x+1)leqlog_28,} atop {log_2(-x-1)leqlog_28;}} right.   left [ {{x+1leq8,} atop {-x-1leq8;}} right. left [ {{xleq7,} atop {xgeq-9;}} right. -9leq xleq7,\ xin[-9;-2)cup(-2;-1)cup(-1;0)cup(0;7].
Вас заинтересует