• Предмет: Математика
  • Автор: dks95
  • Вопрос задан 10 лет назад

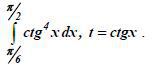
Помогите решить интеграл!!!
Определенный интеграл ,дана рекомендуемая подстановка

Приложения:

Ответы

Ответ дал: polinasmart
0
решение на фотографии
Приложения:
Вас заинтересует