Ответы
Ответ дал:
0
решение смотри на фотографии
Приложения:
Ответ дал:
0
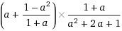
1. Разбираемся с первым множителем.

В числителе алгебраической дроби спрятана формула разности квадратов. Переписываем выражение, применив формулу.

Сокращаем дробь, расписываем подробно получившийся многочлен и приводим подобные слагаемые, если таковые имеются.

Вот и всё. Первый множитель равен одному.
2. Разбираемся со вторым множителем.

В знаменателе алгебраической дроби спрятана формула квадрата суммы. Переписываем выражение, применив формулу.
или, что едино,
, поскольку от перестановки слагаемых сумма не меняется.
Сокращаем дробь, расписываем подробно получившееся выражение и если это возможно, то приводим подобные слагаемые.

3. Перемножаем выражение между собой.
Первый множитель равен одному, второй –
.
Ответ:
.
В числителе алгебраической дроби спрятана формула разности квадратов. Переписываем выражение, применив формулу.
Сокращаем дробь, расписываем подробно получившийся многочлен и приводим подобные слагаемые, если таковые имеются.
Вот и всё. Первый множитель равен одному.
2. Разбираемся со вторым множителем.
В знаменателе алгебраической дроби спрятана формула квадрата суммы. Переписываем выражение, применив формулу.
Сокращаем дробь, расписываем подробно получившееся выражение и если это возможно, то приводим подобные слагаемые.
3. Перемножаем выражение между собой.
Первый множитель равен одному, второй –
Ответ:
Приложения:
Вас заинтересует
2 года назад
2 года назад
7 лет назад
7 лет назад
10 лет назад
10 лет назад
10 лет назад