Ответы
Ответ дал:
0
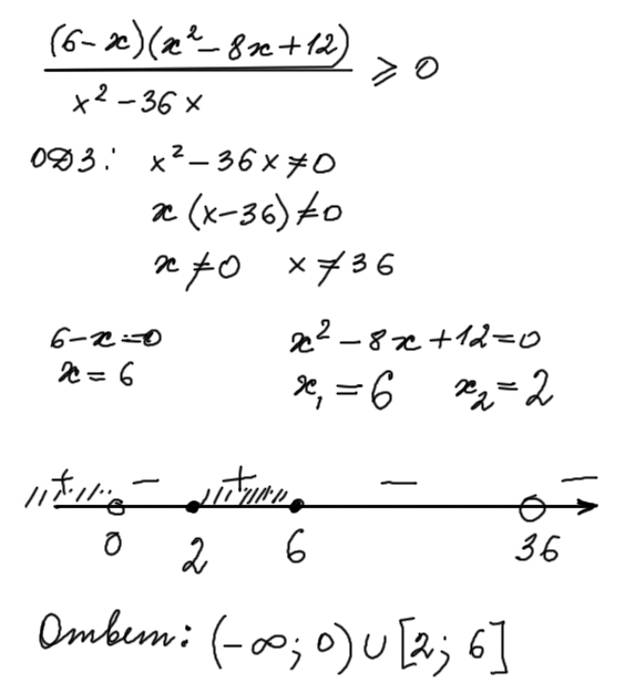
Сначала разложим квадратное уравнение в числителе на (х-6)(х-2)
и знаменатель по формуле сокращенного умножения (х-6)(х+6).
Получим: (6-х)(х-6)(х+6)/(х-6)(х+6) >=0
Сокращаем и получим: (6-х)(х-2)/х+6>=0
У данного ур-я есть 3 корня: 6(включая), 2(включая) и -6(не включая т.к. знаменатель не может равняться 0).
- - + -
--------- ---------------------------------------- . -------------- . -----
-6 2 6
х принадлежит промежутку от 2 до 6 включая обе точки
и знаменатель по формуле сокращенного умножения (х-6)(х+6).
Получим: (6-х)(х-6)(х+6)/(х-6)(х+6) >=0
Сокращаем и получим: (6-х)(х-2)/х+6>=0
У данного ур-я есть 3 корня: 6(включая), 2(включая) и -6(не включая т.к. знаменатель не может равняться 0).
- - + -
--------- ---------------------------------------- . -------------- . -----
-6 2 6
х принадлежит промежутку от 2 до 6 включая обе точки
Ответ дал:
0
Решение в прикрепленном файле
Приложения:

Вас заинтересует
2 года назад
7 лет назад
9 лет назад
10 лет назад