• Предмет: Информатика
  • Автор: beslangatiev06
  • Вопрос задан 10 лет назад

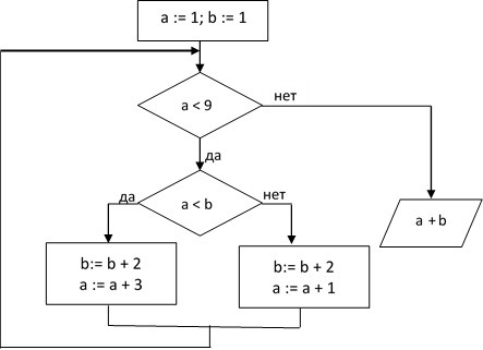
Определите результат выполнения фрагмента блок-схемы:

Приложения:

Ответы

Ответ дал: LainCairen
0
Ответ 18(4 цикла) Если нужно - подробно могу описать значения переменных
Ответ дал: beslangatiev06
0
спс братан
Ответ дал: beslangatiev06
0
сделай ту задачу со степенями пж
Ответ дал: LainCairen
0
Так сделал) ответ 145, если это был ты)))
Ответ дал: beslangatiev06
0
ты уверен что 145
Ответ дал: LainCairen
0
Ну, если я правильно понял условие, то да
Вас заинтересует