• Предмет: Алгебра
  • Автор: dobrolena1998
  • Вопрос задан 10 лет назад

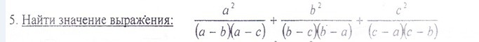
Помогите срочно нужно(((

Приложения:

Ответы

Ответ дал: Kiriyoto
0
a^3b - a^3c - 3a^2bc + 2a^2c^2 + ab^3 + 2ab^2c - abc^2 + abc - ac^2 - b^4 - b^2c + bc^2/(a - b)*(b - c)
Вас заинтересует