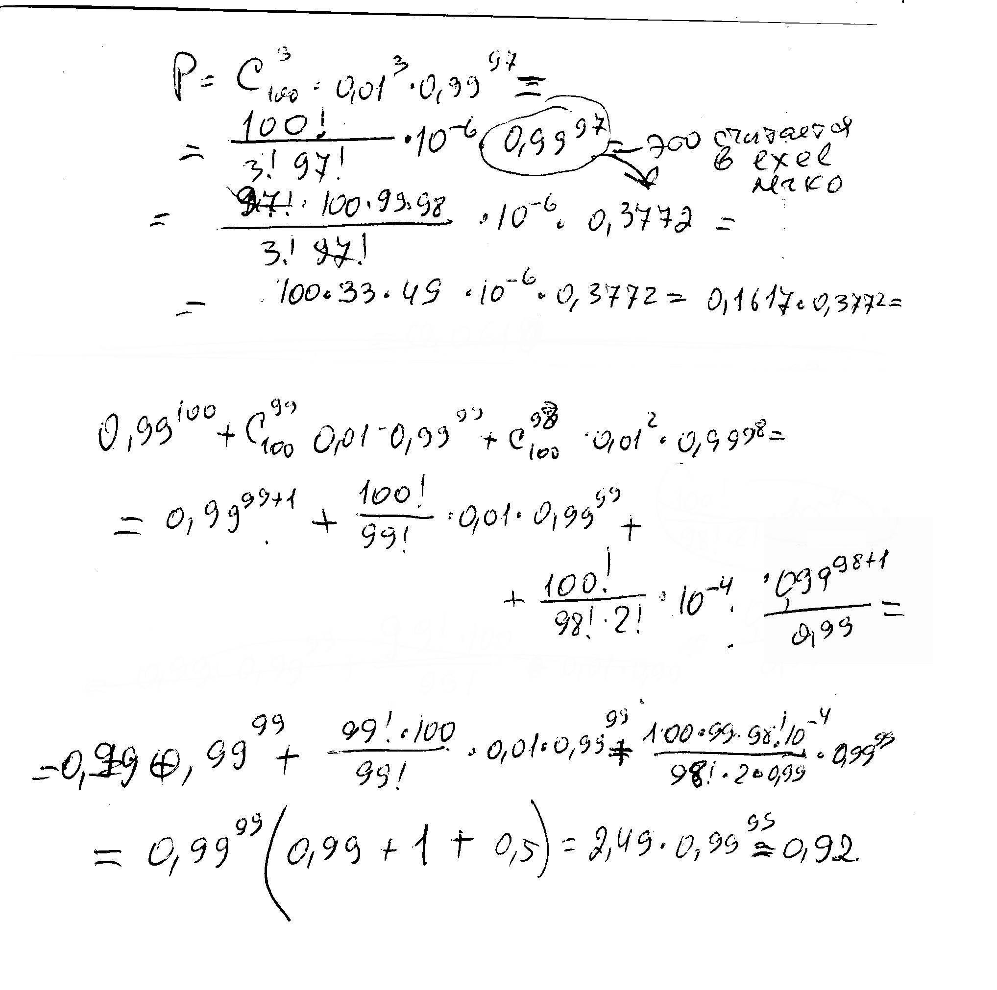
В банке осуществляется кредитование населения,100 клиентов.Вероятность не возврата кредита каждым из клиентов равна p=0,01.Найти вероятность следующих событий
а)3 клиента не вернут кредит
б)менее 3х клиентов не вернут кредит
Ответы
Ответ дал:
0
Самое сложное - это большие степени, но эксел легко решает эту проблему. Откройте мастера формул ввели два числа и все.Да и в инете калькуляторы есть.
Приложения:

Вас заинтересует
2 года назад
2 года назад
7 лет назад
9 лет назад
10 лет назад