• Предмет: Физика
  • Автор: trocdima94
  • Вопрос задан 10 лет назад

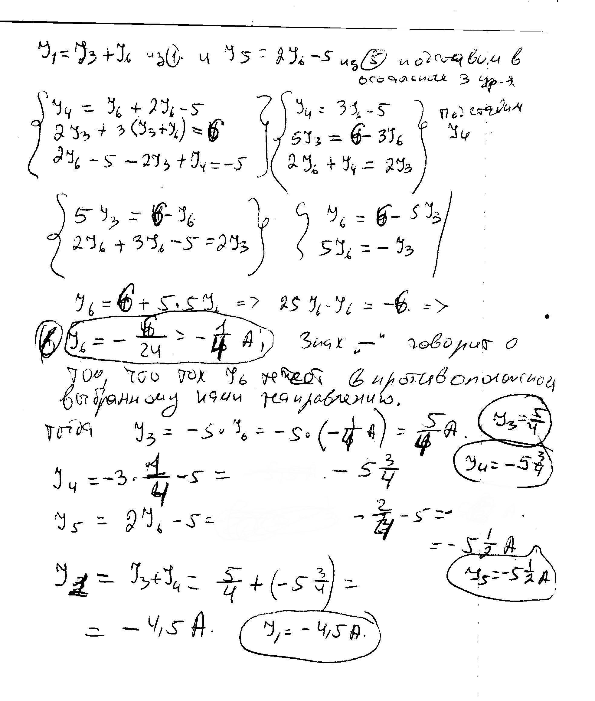
Е1=120в Е5=100в R1=60 Oм R3=40 Ом R4=20 Ом R5=20 Ом R6=40 Ом найдите точки в ветвях

Приложения:

Ответы

Ответ дал: ужнеужели
0
 Постарался очень подробно решить. Потом просто пропустите объяснения, задачка станет короче . Жаль, что в школе не проходят метод контурных токов. Проверьте, на всякий случай арифметику.
Приложения:
Ответ дал: trocdima94
0
спасибо большое, все хорошо
Ответ дал: ужнеужели
0
Смогли в моем почерке разобраться? Это высший класс!
Ответ дал: trocdima94
0
разобрался, а Вы можете со второй задачей помочь, очень нужно!
Вас заинтересует