• Предмет: Алгебра
  • Автор: Аноним
  • Вопрос задан 10 лет назад

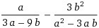
разложить на множители (a)/(3a-9b)-(3b^2)/(a^2-3ab) с решением пожалуйста

Приложения:

Ответы

Ответ дал: гюйс
0
 frac{a}{3a-9b} - frac{3b^{2} }{a^{2}-3ab } = frac{a}{3(a-3b)}- frac{3b^{2}}{a(a-3b)}= frac{a*a-3*3b^{2}}{3a(a-3b)}= frac{a^{2}-9b^{2}}{3a(a-3b)}=
 frac{(a-3b)(a+3b)}{3a(a-3b)}= frac{a+3b}{3a}
Вас заинтересует