Ответы
Ответ дал:
0
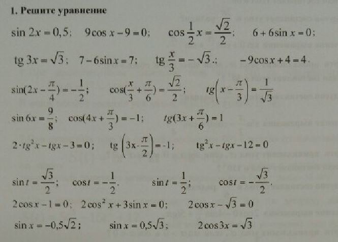
tgx/3=-√3⇒x/3=-π/3+πn⇒x=-π+3πn
-9cosx+4=4⇒-9cosx=0⇒cosx=0⇒x=π/2+πn
sin(2x-π/4)=-1/2⇒2x-π/4=(-1)^narcsin(-1/2)+πn⇒2x=π/4+(-1)^n(-π/6)+πn⇒
x=π/8-(-1)^n(π/12)+(πn/2/
sin6x=9/8)>1⇒нет решений итд
-9cosx+4=4⇒-9cosx=0⇒cosx=0⇒x=π/2+πn
sin(2x-π/4)=-1/2⇒2x-π/4=(-1)^narcsin(-1/2)+πn⇒2x=π/4+(-1)^n(-π/6)+πn⇒
x=π/8-(-1)^n(π/12)+(πn/2/
sin6x=9/8)>1⇒нет решений итд
Вас заинтересует
2 года назад
2 года назад
8 лет назад
8 лет назад
10 лет назад
10 лет назад
10 лет назад