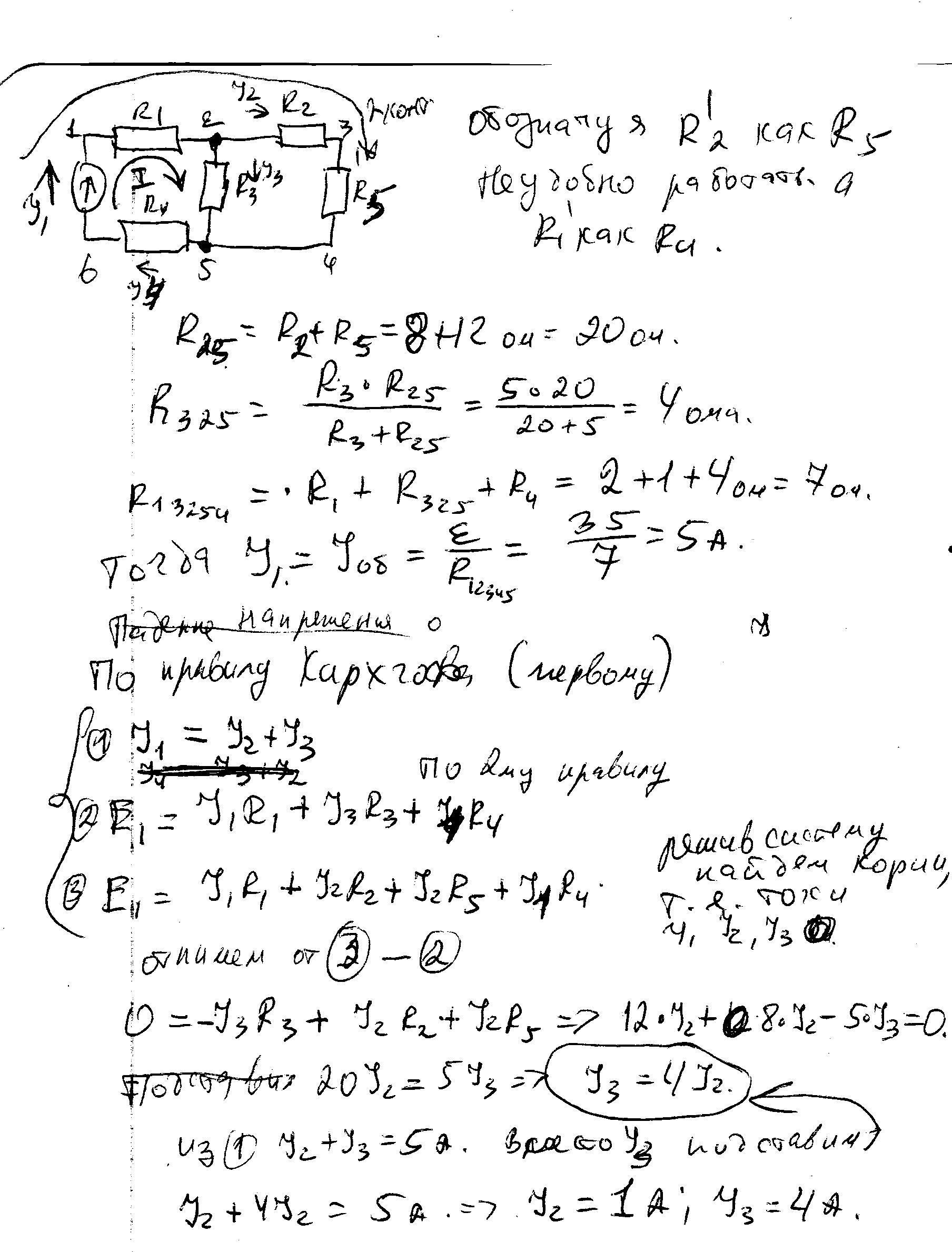
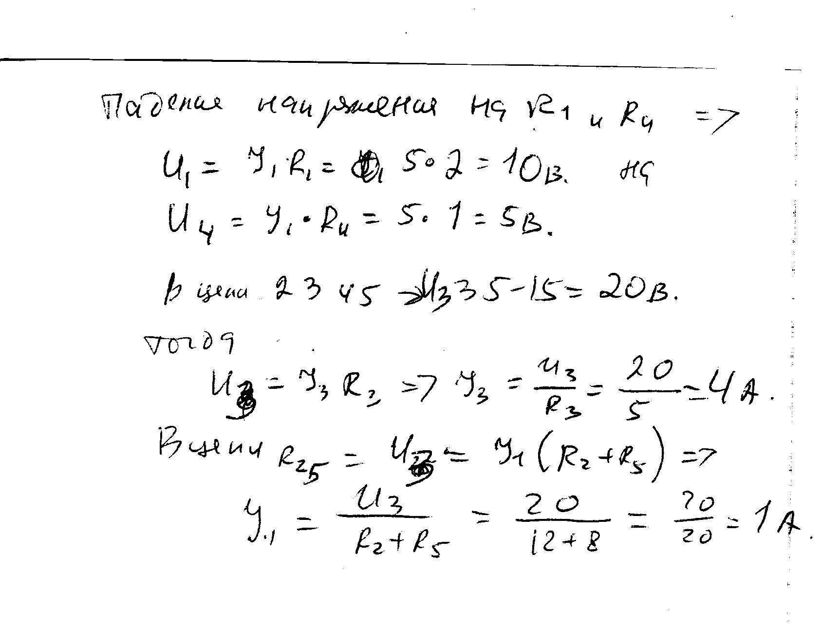
определить токи в ветвях цепи, если R1=2 ом, R1=1 ом,R2=8 ом, R2=12 ом, R3=5 ом, E=35 B.
Приложения:

Ответы
Ответ дал:
0
решение в скане............ А правило Кирхгофа проходят в школе? Добавлю, на всякий случай более простое решение.
Приложения:


Ответ дал:
0
я студент 2 курса
Ответ дал:
0
Вот, как. Зря значит старался. Удачи Вам.
Ответ дал:
0
спасибо
Вас заинтересует
2 года назад
2 года назад
7 лет назад
7 лет назад
10 лет назад