• Предмет: Физика
  • Автор: alex99prok
  • Вопрос задан 10 лет назад

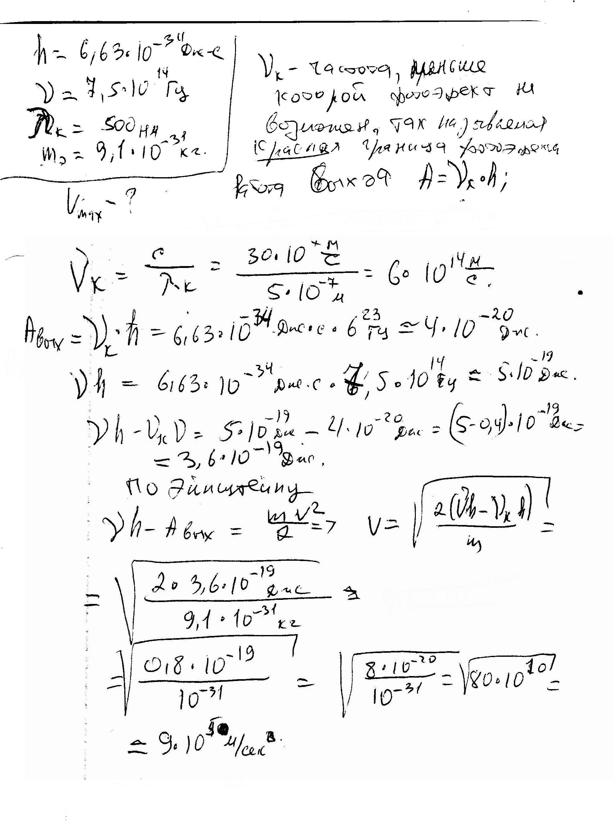
Металл с красной границей фотоэффекта 500 нм освещается излучением частотой 7,5 • 1014 Гц. Какой может быть максимальная скорость фотоэлектронов?

Ответы

Ответ дал: ужнеужели
0
решение в скане................
Приложения:
Вас заинтересует