Помогите пожалуйста пополню счёт вашего мобильного..
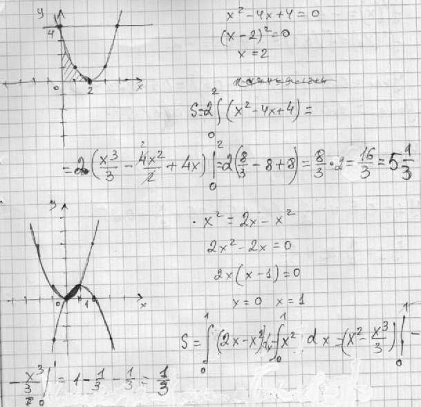
Вычеслите площадь фигуры,ограниченной заданными линиями
y=x^2-4x+4; x=0; x=4; y=0.
И
y=x^2; y=2x-x^2
Ответы
Ответ дал:
0
Смотри ответы в приложении!
Приложения:
Ответ дал:
0
во втором ошибка))) и в первом нужна площадь до х=4...
Ответ дал:
0
А в чем ошибка во втором задании?
Ответ дал:
0
Да, точно! Сей час исправлю
Ответ дал:
0
первую площадь можно было на две одинаковых части разбить...
площадь от нуля до 2 будет равна 8/3))
(8/3) * 2 = 16/3
а можно и так...
площадь от нуля до 2 будет равна 8/3))
(8/3) * 2 = 16/3
а можно и так...
Приложения:
Вас заинтересует
2 года назад
8 лет назад
10 лет назад
10 лет назад