Ответы
Ответ дал:
0
Из второго уравнения:
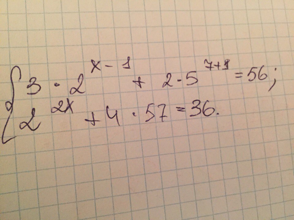
2^(2x)+4*57=36
2^(2x)=36-228=-192 < 0.
Сразу делаем вывод, что действительных решений система не имеет.
2^(2x)+4*57=36
2^(2x)=36-228=-192 < 0.
Сразу делаем вывод, что действительных решений система не имеет.
Вас заинтересует
2 года назад
2 года назад
8 лет назад
10 лет назад
10 лет назад
10 лет назад