Решить неравенство
((x^2 +7x+12)*(x+3))/(x^2+6x+8)+((x^2+8x+15)*(x+3))/(x^2+7x+10)≤ (x+1)^2*(x^2+6x+9)
Ответы
Ответ дал:
0
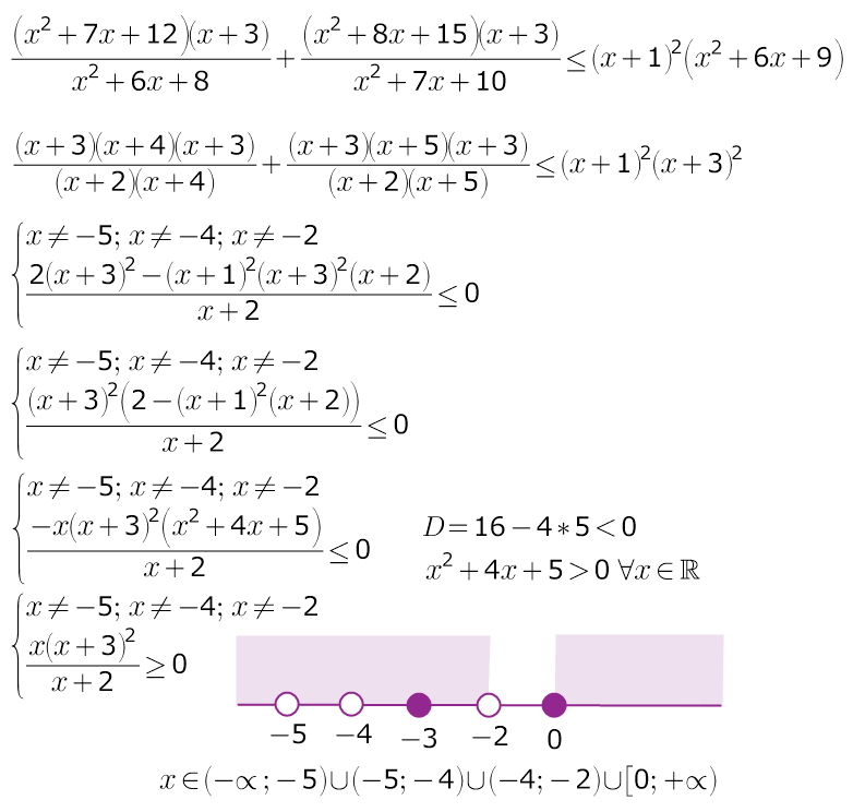
x²+7x+12=(x+4)(x+3)
x1+x2=-7 U x1*x2=12⇒x1=-4 u x2=-3
x²+6x+8=(x+4)(x+2)
x1+x2=-6 U x1*x2=8⇒x1=-4 U x2=-2
x²+8x+15=(x+5)(x+3)
x1+x2=-8 U x1*x2=15⇒x1=-5 U x2=-3
x²+7x+10=(x+5)(x+2)
x1+x2=-7 U x1*x2=10⇒x1=-5 U x2=-2
x²+6x+9=(x+3)²
(x+4)(x+3)²/[(x+4)(x+2)]+(x+5)(x+3)²/[(x+5)(x+2)] -(x+1)²(x+3)²≤0
(x+3)²/(x+2)+(x+3)²/(x+2) -(x+1)²(x+3)²≤0,x≠-4 U x≠-5
2(x+3)²/(x+2)-(x+1)²(x+3)²≤0
(x+3)²(2-(x+2)(x+1)²)/(x+2)≤0
(x+3)²(2-x³-2x²-2x²-4x-x-2)/(x+2)≤0
(x+3)²(-x³-4x²-5x)/(x+2)≤0
(x+3)²*x*(x²+4x+5)/(x+2)≥0
x²+4x+5>0 при любом х,т.к.D<0⇒
(x+3)²*x/(x+2)≥0
x=-3 x=0 x=-2
+ + _ +
------------[-3]------------(-2)-------------[0]--------------
x∈(-∞;-5) U (-5;-4) U (-4;-2) U [0;∞)
x1+x2=-7 U x1*x2=12⇒x1=-4 u x2=-3
x²+6x+8=(x+4)(x+2)
x1+x2=-6 U x1*x2=8⇒x1=-4 U x2=-2
x²+8x+15=(x+5)(x+3)
x1+x2=-8 U x1*x2=15⇒x1=-5 U x2=-3
x²+7x+10=(x+5)(x+2)
x1+x2=-7 U x1*x2=10⇒x1=-5 U x2=-2
x²+6x+9=(x+3)²
(x+4)(x+3)²/[(x+4)(x+2)]+(x+5)(x+3)²/[(x+5)(x+2)] -(x+1)²(x+3)²≤0
(x+3)²/(x+2)+(x+3)²/(x+2) -(x+1)²(x+3)²≤0,x≠-4 U x≠-5
2(x+3)²/(x+2)-(x+1)²(x+3)²≤0
(x+3)²(2-(x+2)(x+1)²)/(x+2)≤0
(x+3)²(2-x³-2x²-2x²-4x-x-2)/(x+2)≤0
(x+3)²(-x³-4x²-5x)/(x+2)≤0
(x+3)²*x*(x²+4x+5)/(x+2)≥0
x²+4x+5>0 при любом х,т.к.D<0⇒
(x+3)²*x/(x+2)≥0
x=-3 x=0 x=-2
+ + _ +
------------[-3]------------(-2)-------------[0]--------------
x∈(-∞;-5) U (-5;-4) U (-4;-2) U [0;∞)
Ответ дал:
0
-(x+2)(x+1)²=-x³-2x²-2x²-4x-x-2
Ответ дал:
0
Большое спасибо за помощь. Я просто забыла об ОДЗ, непосредственно на том моменте, где преобразуются дроби. Дырявая моя голова : D. Вот почему при проверке не сошлось.))
Ответ дал:
0
квадратные трехчлены легко раскладываются на множители через корни, найденные по т.Виета (устно)
дроби нельзя сокращать, не записав ОДЗ...
на квадратный трехчлен с отрицательным дискриминантом можно сократить дробь, т.к. он не принимает нулевых значений (корней нет),
знак неравенства при этом не изменится, т.к. этот квадратный трехчлен может принимать только положительные значения:
x²+4x+5 ---парабола, ветви вверх))
корень (-3) имеет кратность 2 (четную), т.е. при переходе через этот корень знак выражения не меняется...
дроби нельзя сокращать, не записав ОДЗ...
на квадратный трехчлен с отрицательным дискриминантом можно сократить дробь, т.к. он не принимает нулевых значений (корней нет),
знак неравенства при этом не изменится, т.к. этот квадратный трехчлен может принимать только положительные значения:
x²+4x+5 ---парабола, ветви вверх))
корень (-3) имеет кратность 2 (четную), т.е. при переходе через этот корень знак выражения не меняется...
Приложения:

Ответ дал:
0
Большое спасибо за помощь. Я просто забыла об ОДЗ, непосредственно на том моменте, где преобразуются дроби. Дырявая моя голова : D. Вот почему при проверке не сошлось.))
Ответ дал:
0
рада была помочь))
Вас заинтересует
2 года назад
2 года назад
7 лет назад
7 лет назад
9 лет назад
9 лет назад
10 лет назад