• Предмет: Геометрия
  • Автор: PolinaBukina123
  • Вопрос задан 9 лет назад

Помогите пожалуйста срочно надо!!!!!!!

Приложения:

Ответы

Ответ дал: ужнеужели
0
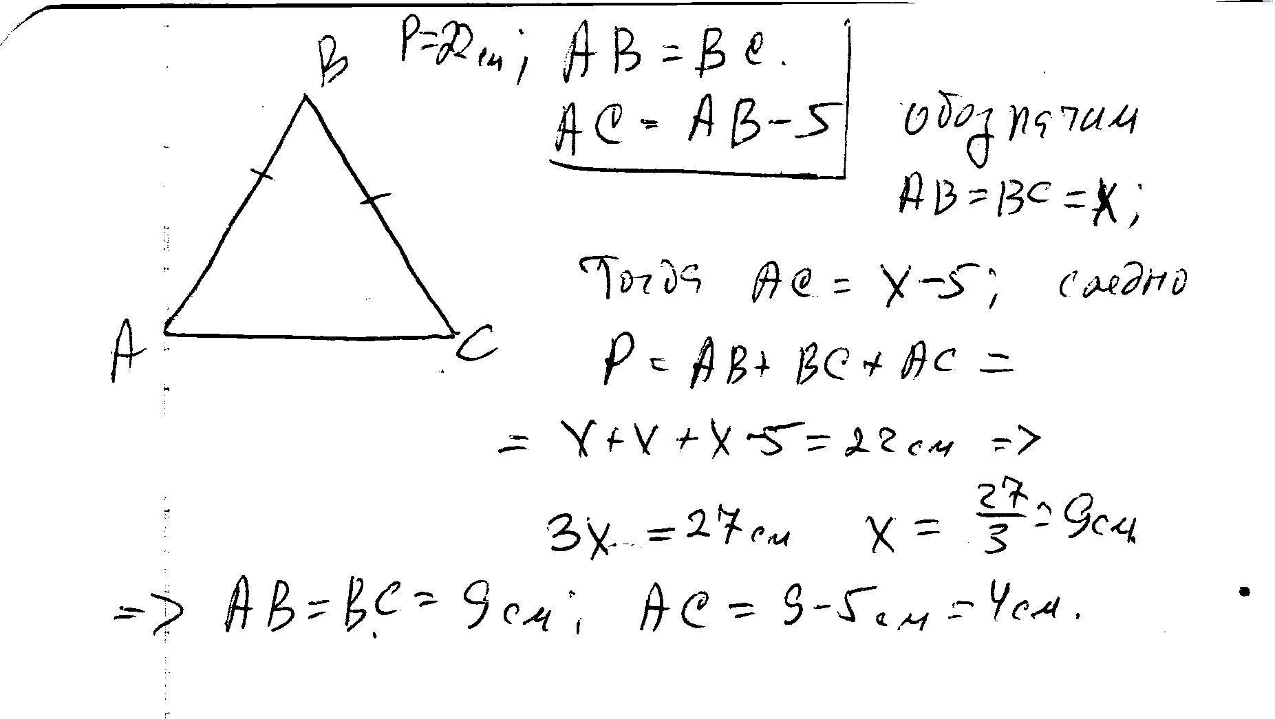
решение в скане.........
Приложения:
Ответ дал: ужнеужели
0
Спасибо. Но решения-то тут...
Вас заинтересует