• Предмет: Физика
  • Автор: MilesDavis189
  • Вопрос задан 10 лет назад

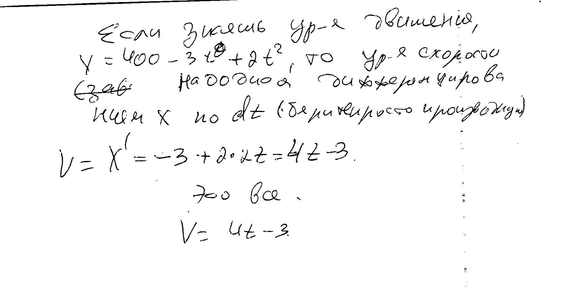
Дано уравнение движения x=400-3t+2t^2. Найдите уравнения скорости

Ответы

Ответ дал: ужнеужели
0
решение в скане........
Приложения:
Вас заинтересует