• Предмет: Алгебра
  • Автор: mcmuha
  • Вопрос задан 10 лет назад

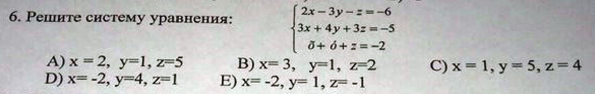
Решите систему уравнения

Приложения:

Ответы

Ответ дал: NNNLLL54
0
  left{begin{array}{ccc}2x&-3y&-z=-6\3x&+4y&+3z=-5\x&+y&+z=-2end{array}right ;    left{begin{array}{ccc}x&+y&+z=-2\&-5y&-3z=-2\&y&=1end{array}right \\\  left{begin{array}{ccc}x&+y&+z=-2\&5y&=1\&&-3z=3end{array}right ;   left{begin{array}{c}x=-1\y=1\z=-2end{array}right
Вас заинтересует