• Предмет: Математика
  • Автор: zhorasurkov
  • Вопрос задан 10 лет назад

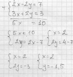
решите систему 2x-2y=7 под ней 3x+2y=3

Ответы

Ответ дал: математик2011
0
Ответ: (2; - 1,5)_____________
Приложения:
Вас заинтересует