• Предмет: Алгебра
  • Автор: дима3227
  • Вопрос задан 10 лет назад

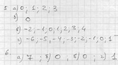
То что под галочкой !!!!!!!!!!!!!!!!

Приложения:

Ответы

Ответ дал: математик2011
0
))))))))))))))))))))))))))))))))))))
Приложения:
Вас заинтересует