• Предмет: Математика
  • Автор: пгоррм676
  • Вопрос задан 10 лет назад

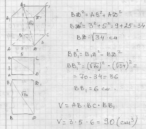
Основание прямой призмы является прямоугольник со сторонами 5 см и 3 см,
диагональ осевого сечения равна √70 см, найти объем призмы.
всё подробно, все формулы и рисунок пожалуйста:)

Ответы

Ответ дал: математик2011
0
Всё понятно!!!!!!!!!!!!!!!!!!!!!!!!!!!!
Приложения:
Ответ дал: пгоррм676
0
большое спасибо
Вас заинтересует