Ответы
Ответ дал:
0
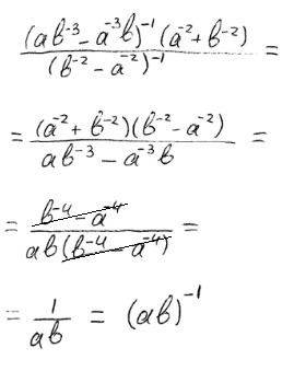
решение в фото.............
Приложения:

Вас заинтересует
2 года назад
2 года назад
9 лет назад
9 лет назад