• Предмет: Геометрия
  • Автор: Бандитто
  • Вопрос задан 10 лет назад

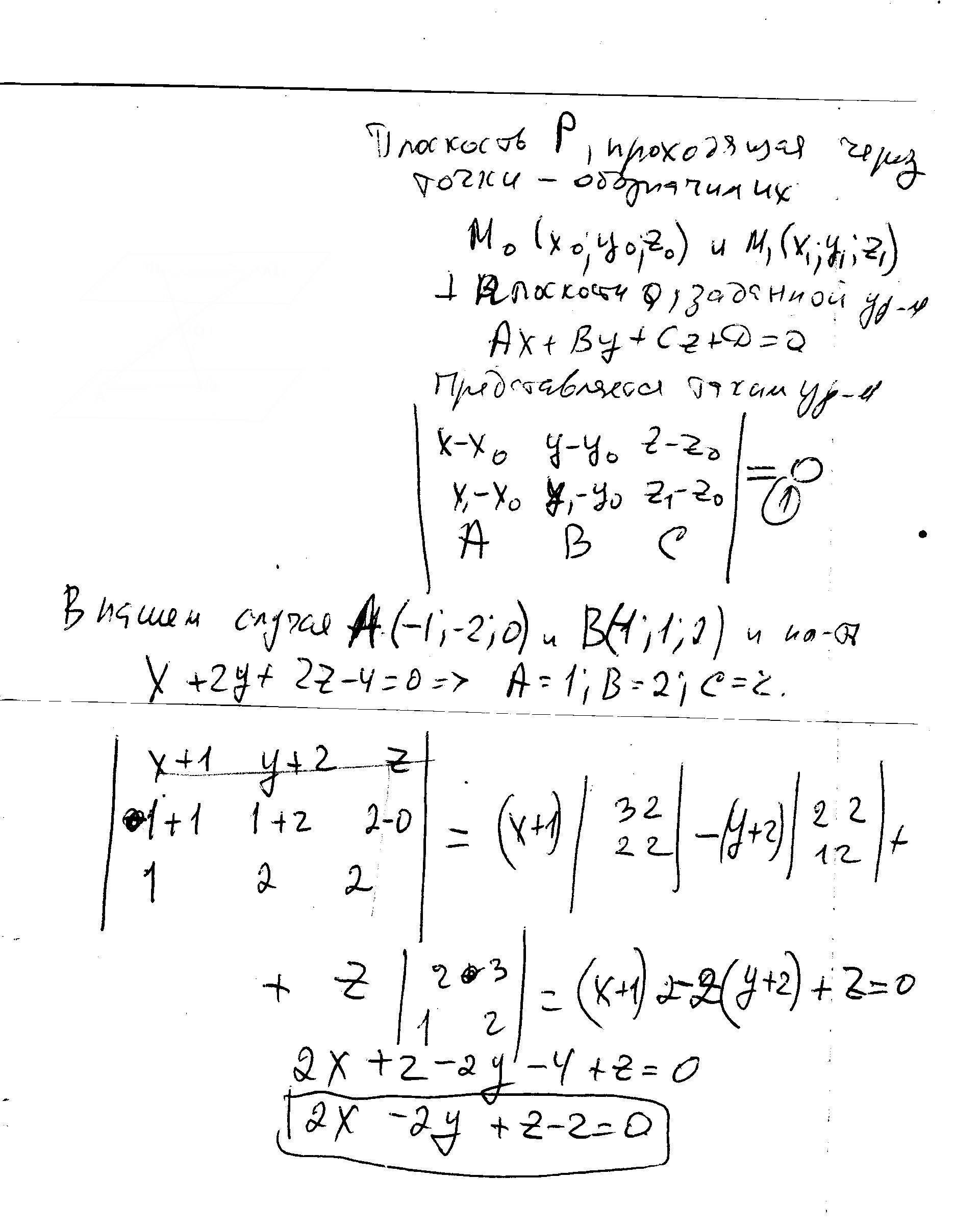
Написать уравнение плоскости, проходящей через точки A(-1,-2,0) и B(1,1,2) и перпендикулярной к плоскости x+2y+2z-4=0.

Ответы

Ответ дал: ужнеужели
0
Люблю аналитическую геометрию. Спасибо.решение в скане..........
Приложения:
Ответ дал: ужнеужели
0
Надеюсь не ошибся снова.
Ответ дал: Denik777
0
все норм
Ответ дал: ужнеужели
0
СПАСИБО!
Ответ дал: Бандитто
0
Спасибки)
Ответ дал: ужнеужели
0
Это Вам спасибо, потренировался и вспомнил многое.
Вас заинтересует