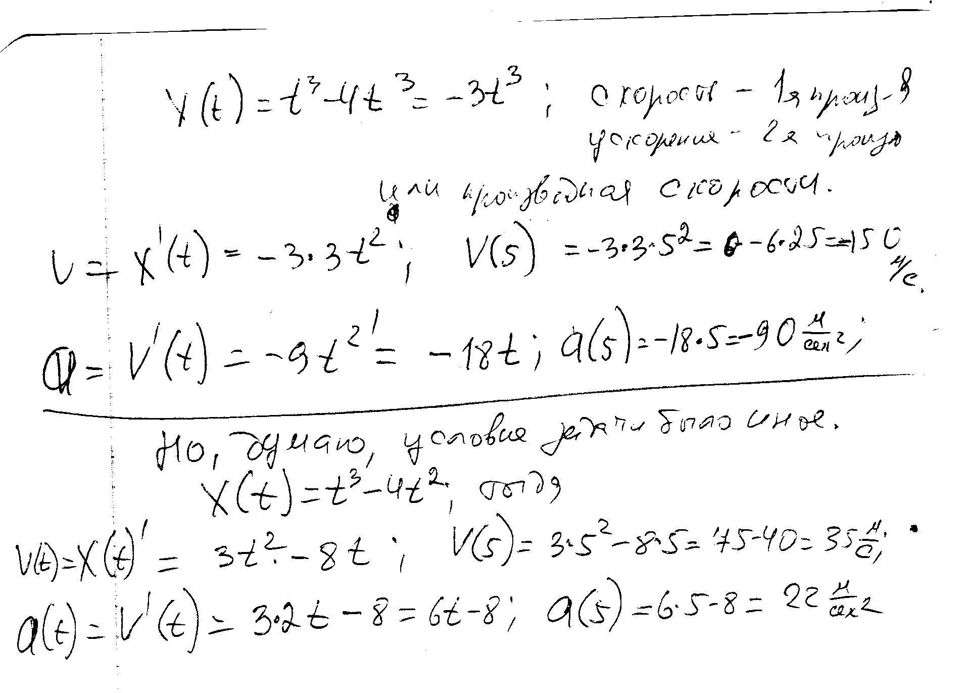
Расчитайте скорость и ускорение точки, движущиеся в доль оси Ох по закону X(t)=t³-4t³ в момент времени t=5c.
Ответы
Ответ дал:
0
решение в скане................
Приложения:
Вас заинтересует
3 года назад
3 года назад
8 лет назад
10 лет назад
10 лет назад
10 лет назад
10 лет назад