• Предмет: Математика
  • Автор: Виолка333
  • Вопрос задан 10 лет назад

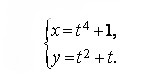
Найти dy/dx и d2y/dx2

Приложения:

Ответы

Ответ дал: NNNLLL54
0
 left { {{x=t^4} atop {y=t^2+t}} right. \\ 1)quad frac{dy}{dx} = frac{y'_{t}}{x'_{t}} = frac{2t+1}{4t^3} \\2)quad  frac{d^2y}{dx^2} = frac{left (frac{2t+1}{4t^3}right )'}{x'_{t}} = frac{ frac{2cdot 4t^3-12t^2(2t+1)}{16t^9} }{4t^3} = frac{-16t^3-12t^2}{64t^{12}} =- frac{4t+3}{16t^{10}}
Вас заинтересует