• Предмет: Математика
  • Автор: said20013120013
  • Вопрос задан 9 лет назад

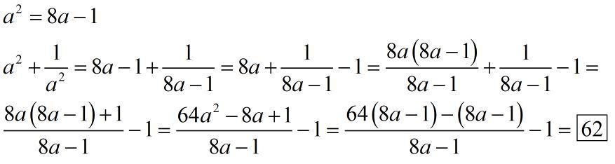
Зная, что а^2 - 8а +1 = 0 , найдите а^2 +1/а^2

Ответы

Ответ дал: Аноним
0
Решение находится в файле.
Приложения:
Вас заинтересует