• Предмет: Алгебра
  • Автор: Davakin007
  • Вопрос задан 10 лет назад

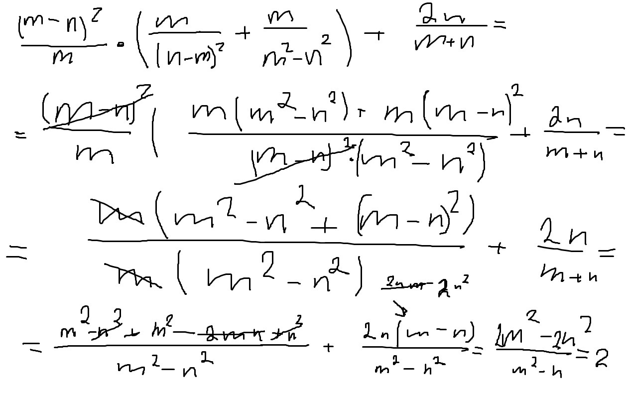
Упростите выражение 115(а)

Приложения:

Ответы

Ответ дал: SERAYU
0
Решать очень просто 
Совет- не кидайся сокращать все сразу расспиши по скобкам
Приложения:
Ответ дал: SERAYU
0
эм
Ответ дал: SERAYU
0
да вроде правильно
Ответ дал: гюйс
0
а как ты сокращаешь (m-n)^2 и (n-m)^2 ?? в самом начале?
Ответ дал: SERAYU
0
я тебя удивлю
Ответ дал: SERAYU
0
но это одно и тоже
Вас заинтересует