• Предмет: Математика
  • Автор: Eddieeeeeee
  • Вопрос задан 10 лет назад

В развёрнутом виде пожалуйста

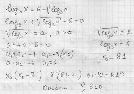
Приложения:

Ответы

Ответ дал: математик2011
0
!!!!!!!!!!!!!!!!!!!!!!!!!!!!!!!!!!!!!!!!!!!
Приложения:
Вас заинтересует