Ответы
Ответ дал:
0
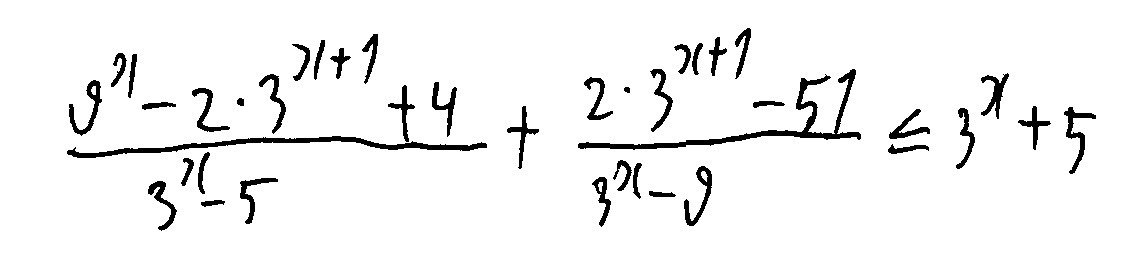
3^x=a
(a²-6a+4)/(a-5)+(6a-51)/(a-9) -(a=5)≤0
(a³-6a²+4a-9a²+54a-36+6a²-30a-5a+25-a³+9a²+25a-225)/[(a-5)(a-9)]≤0
(48a-236)/[(a-5)(a-9)]≤0
48(a-7)/[(a-5)(a-9)]≤0
a=7 a=5 a=9
_ + _ +
--------------(5)-------------[7]-------------(9)----------------
a<5⇒3^x<5⇒x<log(3)5
7≤a<9⇒7≤3^x<9⇒log(3)7≤x<2
x∈(-∞;log(3)5) U [log(3)7;2)
(a²-6a+4)/(a-5)+(6a-51)/(a-9) -(a=5)≤0
(a³-6a²+4a-9a²+54a-36+6a²-30a-5a+25-a³+9a²+25a-225)/[(a-5)(a-9)]≤0
(48a-236)/[(a-5)(a-9)]≤0
48(a-7)/[(a-5)(a-9)]≤0
a=7 a=5 a=9
_ + _ +
--------------(5)-------------[7]-------------(9)----------------
a<5⇒3^x<5⇒x<log(3)5
7≤a<9⇒7≤3^x<9⇒log(3)7≤x<2
x∈(-∞;log(3)5) U [log(3)7;2)
Вас заинтересует
3 года назад
8 лет назад
10 лет назад
10 лет назад
10 лет назад
10 лет назад