• Предмет: Геометрия
  • Автор: zmdemon
  • Вопрос задан 10 лет назад

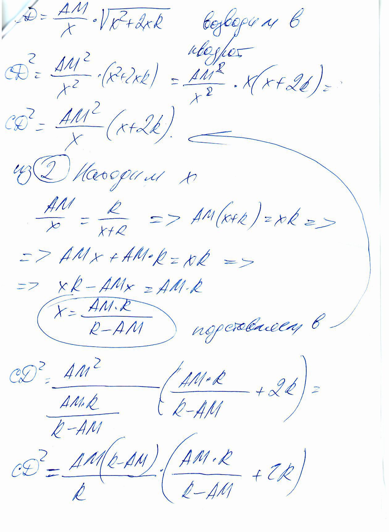
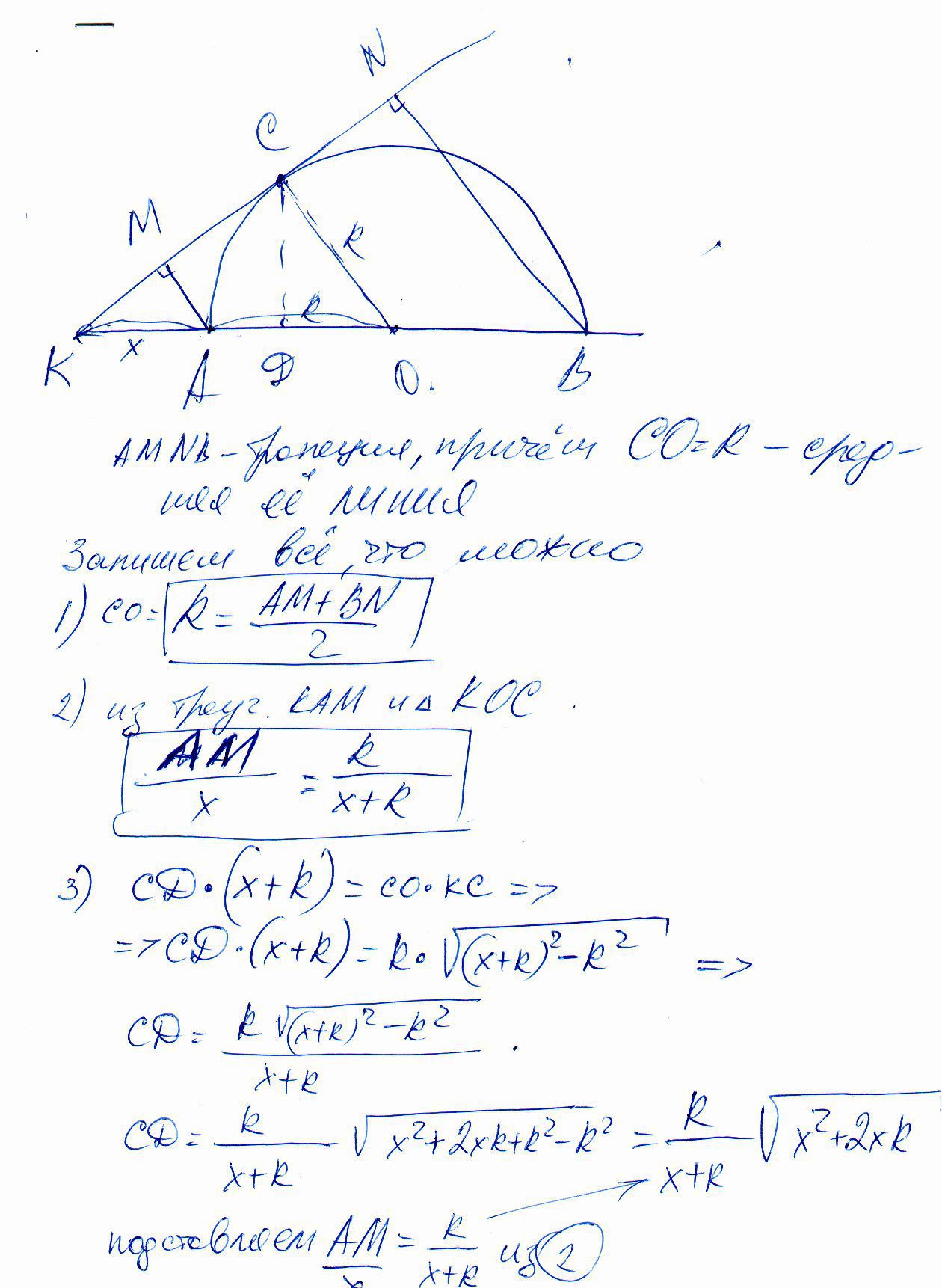
На отрезке AB как на диаметре построена полуокружность.
Прямая l касается этой полуокружности в точке C . Из точек A и B на
прямую l опущены перпендикуляры AM и BN . Пусть D — проекция
точки C на AB . Доказать, что CD^2 = AM · BN .

Ответы

Ответ дал: nabludatel00
0
решение смотри в файлах (их 3)
Приложения:
Ответ дал: zmdemon
0
Харош!)
Ответ дал: nabludatel00
0
капец, какой я дурак! Такое длинное решение я забабахал. А там решение в 2 строчки.... Вай-вай!
Ответ дал: nabludatel00
0
Это не есть лучшее решение, как вы,Zmdemon, указали. Это есть худшее решение.... как же я опростоволосился. Наверно, спать хотел...
Вас заинтересует