Пожалуйста решите предел. Только подробно!!! ( я знаю, что по правилу Лопиталя, но решить не выходит)
Приложения:
Ответы
Ответ дал:
0
Решение на картинке.
Приложения:
Ответ дал:
0
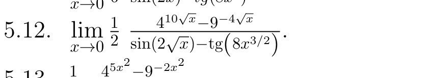
Вид неопределенности 0/0. По правилу Лопиталя найдем производные числителя и знаменателя:
(числитель)'=(4^(10√x))ln4(1/2√x)-(9^(-4√x))ln9(1/2√x)=((4^(10√x))ln4-(9^(-4√x))ln9)/(2√x)
(Знаменатель)'=(cos2√x)(1/√x)-(1/cos²(8(√x)³))12√x=(cos2√x-1/cos²(8(√x)³))12x)/√x
Подставляем в дробь √x сокращаем. В числителе остается (ln4-ln9)/2, мы учли ,что 4^(10√x)→1 и 9^(-4√x)→1 при х→0, а в знаменателе сos2√x, который→1 при x→0. Поэтому ответ (ln4-ln9)/2.
(числитель)'=(4^(10√x))ln4(1/2√x)-(9^(-4√x))ln9(1/2√x)=((4^(10√x))ln4-(9^(-4√x))ln9)/(2√x)
(Знаменатель)'=(cos2√x)(1/√x)-(1/cos²(8(√x)³))12√x=(cos2√x-1/cos²(8(√x)³))12x)/√x
Подставляем в дробь √x сокращаем. В числителе остается (ln4-ln9)/2, мы учли ,что 4^(10√x)→1 и 9^(-4√x)→1 при х→0, а в знаменателе сos2√x, который→1 при x→0. Поэтому ответ (ln4-ln9)/2.
Приложения:
Ответ дал:
0
Я не учла множитель 1/2 и в числителе должна быть сумма
Ответ дал:
0
и еще перед первым слагаемым в числителе коэффициент 10 , перед вторым 4. Ответ (5ln4+2ln9)/2
Вас заинтересует
3 года назад
8 лет назад
8 лет назад
10 лет назад
10 лет назад