• Предмет: Геометрия
  • Автор: amigos155
  • Вопрос задан 10 лет назад

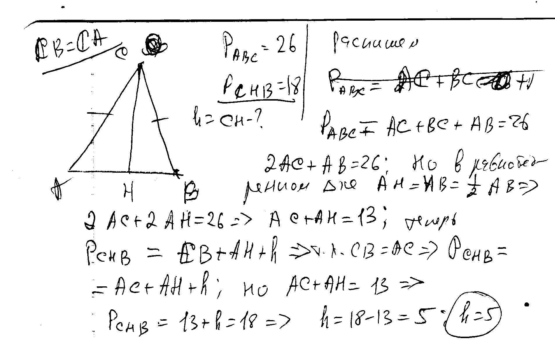
Найдите высоту СН равнобедренного треугольника АВС(АС=ВС),если периметр треугольника АВС равен 26,а периметр треугольника АСН равен 18.

Ответы

Ответ дал: ужнеужели
0
решение в скане............
Приложения:
Вас заинтересует