Ответы
Ответ дал:
0
по определению показательной функции:
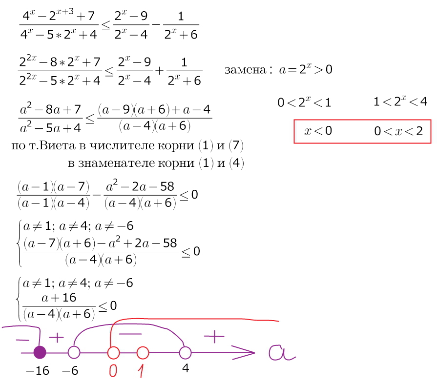
2^x > 0 для любых икс)))
сделав замену и упростив выражение, выбираем только положительные значения для новой переменной)))
сокращать дробь можно только записав ОДЗ !
2^x > 0 для любых икс)))
сделав замену и упростив выражение, выбираем только положительные значения для новой переменной)))
сокращать дробь можно только записав ОДЗ !
Приложения:
Вас заинтересует
2 года назад
8 лет назад
8 лет назад
10 лет назад
10 лет назад
10 лет назад