Ответы
Ответ дал:
0
Строим график.
Затем приравниваем функции друг к другу . С помощью дискриминант находим корни уравнения - точки пересечения функции.
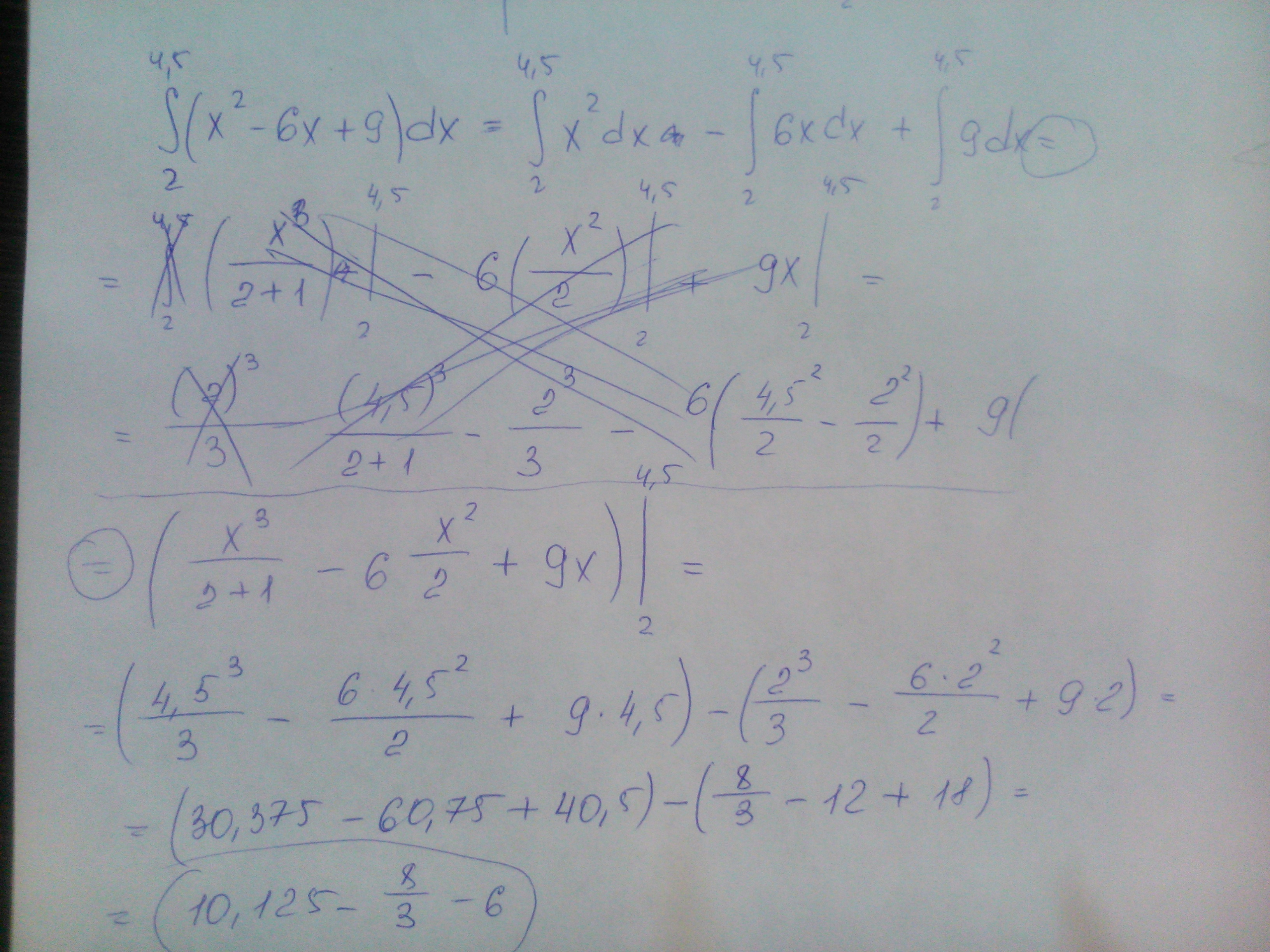
Площадь считаем через определенный интеграл.
Затем приравниваем функции друг к другу . С помощью дискриминант находим корни уравнения - точки пересечения функции.
Площадь считаем через определенный интеграл.
Приложения:
Ответ дал:
0
что с картинкой
Ответ дал:
0
а что с ней? приблизить нельзя?
Ответ дал:
0
не открывает
Ответ дал:
0
разделила на 2. Интернет может слабый, а фото много весит. Вот и не открывает
Вас заинтересует
2 года назад
2 года назад
8 лет назад
8 лет назад
10 лет назад
10 лет назад
10 лет назад
10 лет назад