• Предмет: Геометрия
  • Автор: 13579qwer
  • Вопрос задан 10 лет назад

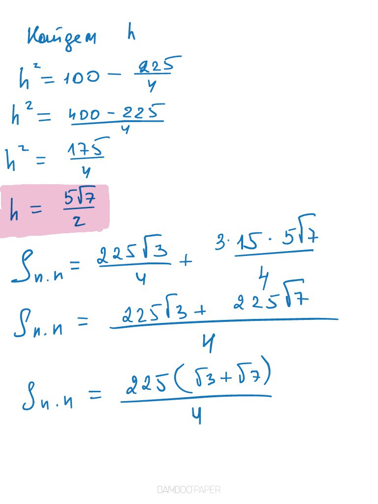
Боковое ребро правильной треугольной пирамиды равно 10 см, а высота равна 5 см. Найдите полную поверхность пирамиды.

Ответы

Ответ дал: KseniaHarlequin
0
Если не ошиблась в расчетах, то ответ достаточно заковыристый
Приложения:
Вас заинтересует