Ответы
Ответ дал:
0
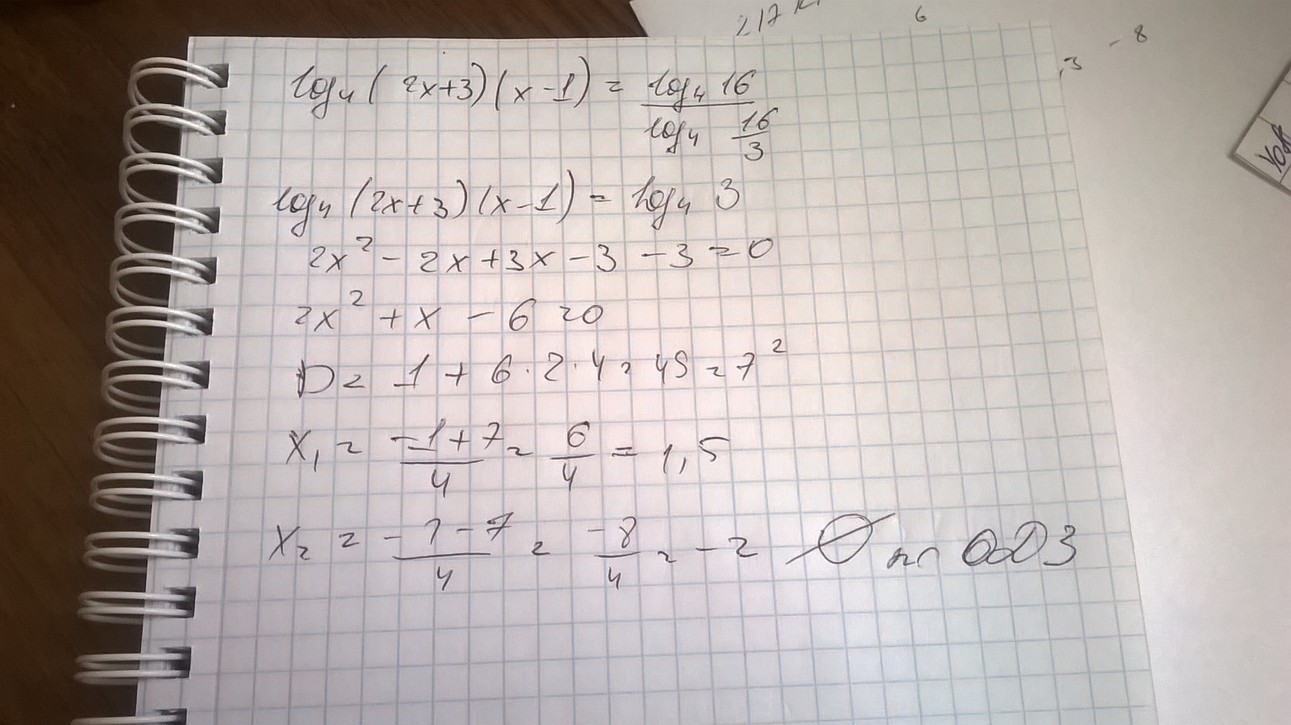
Лови решение.Тут, наверное, будет все-таки два корня.Там же как получается, значение логарифма не может быть меньше 0, а у нас log4(-4+3)(-2-1)=log4(-1)(-3)=log4(3).Тогда получается, что корня два: -2;1,5
Приложения:

Ответ дал:
0
Спасибо большое
Ответ дал:
0
интеграл (4x^5 -3x^4 +x^3-1) / x^2 Не могли бы помочь?
Ответ дал:
0
Ой, вот интегралы еще не изучала, только в 11-ом буду, тобиш с сентября)
Ответ дал:
0
log2 x +log4 x +log8 x=66
Вас заинтересует
2 года назад
2 года назад
7 лет назад
9 лет назад
9 лет назад
10 лет назад
10 лет назад