• Предмет: Математика
  • Автор: tajiana575
  • Вопрос задан 9 лет назад

Помогите,очень надо!!!!!

Приложения:

Ответы

Ответ дал: Temariloli
0
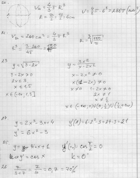
26. Вероятность 70%, либо вероятность 2/3. (одно и тоже)
Ответ дал: математик2011
0
Готовься к экзамену! Удачи!
Приложения:
Вас заинтересует