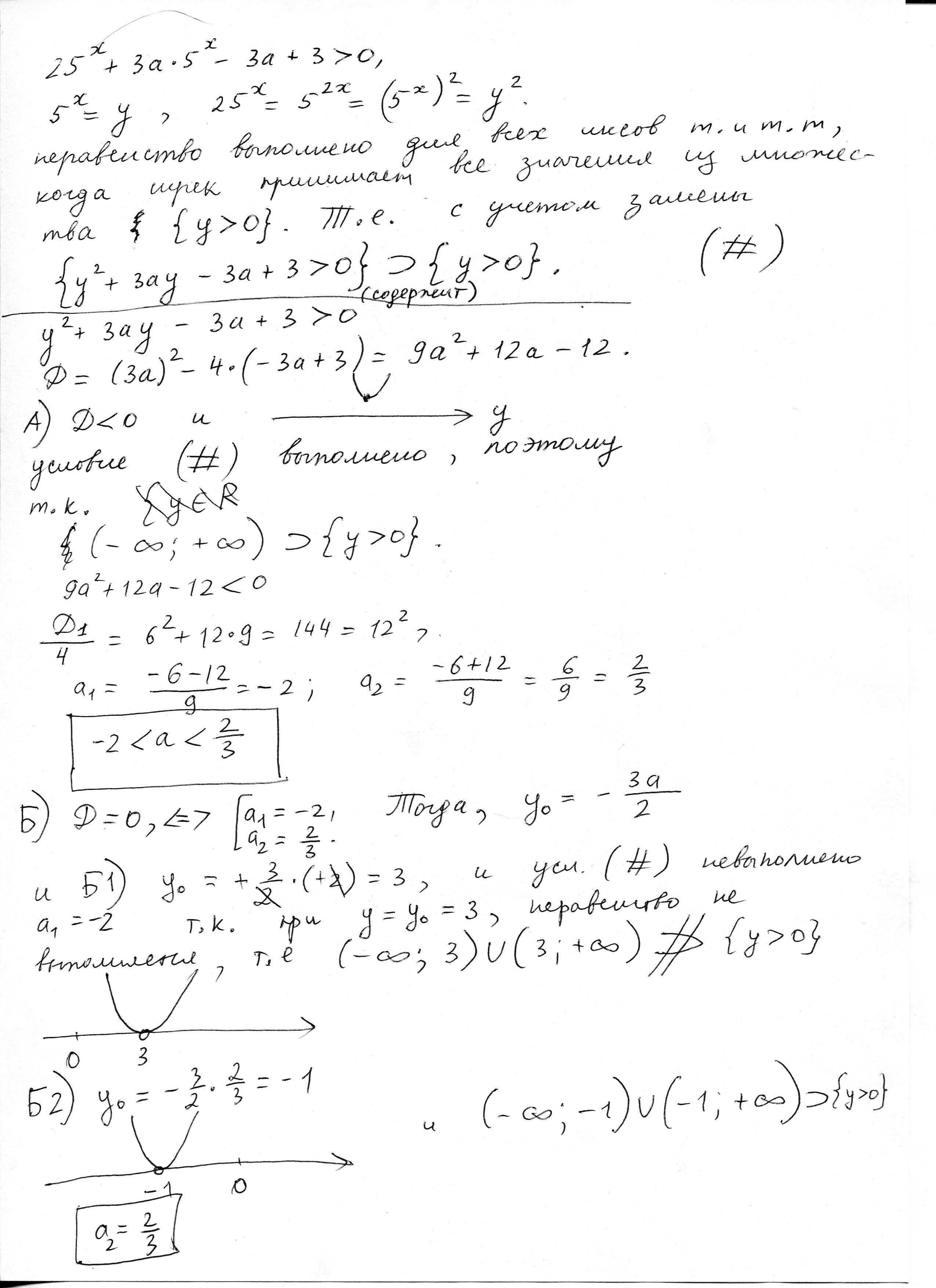
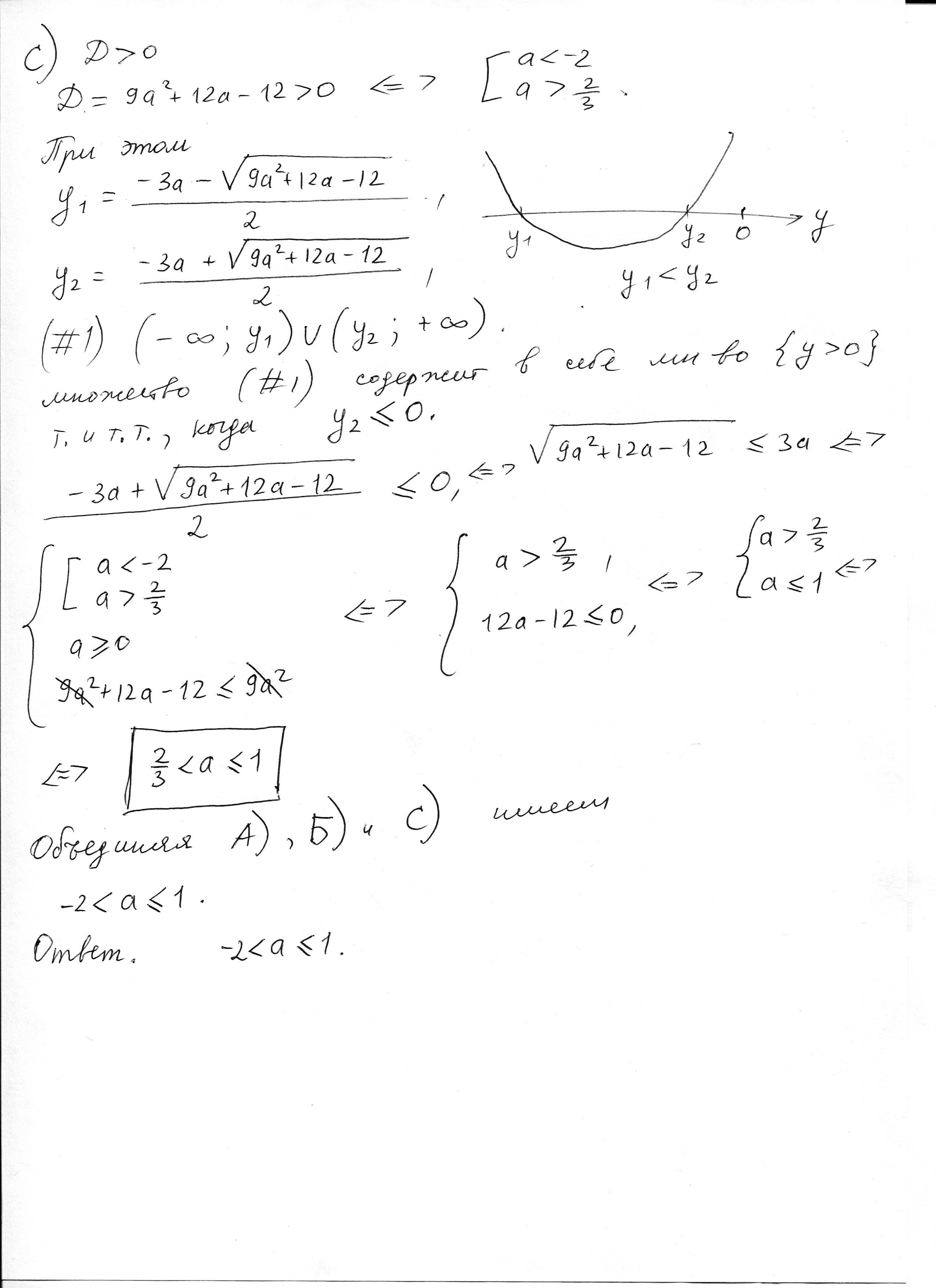
при каких значениях "a" неравенство 25^x + 3a*5^x - 3a + 3 > 0 выполнено при всех "х"
Заранее благодарю :)
Ответы
Ответ дал:
0
/см. прикрепленный файл изображения/
--------------------------------------------------------->
--------------------------------------------------------->
Приложения:


Ответ дал:
0
Спасибо большое) мы в техникуме так подробно это не проходили. А сейчас для поступления понадобилось
Вас заинтересует
2 года назад
7 лет назад
7 лет назад
9 лет назад
9 лет назад
10 лет назад