Ответы
Ответ дал:
0
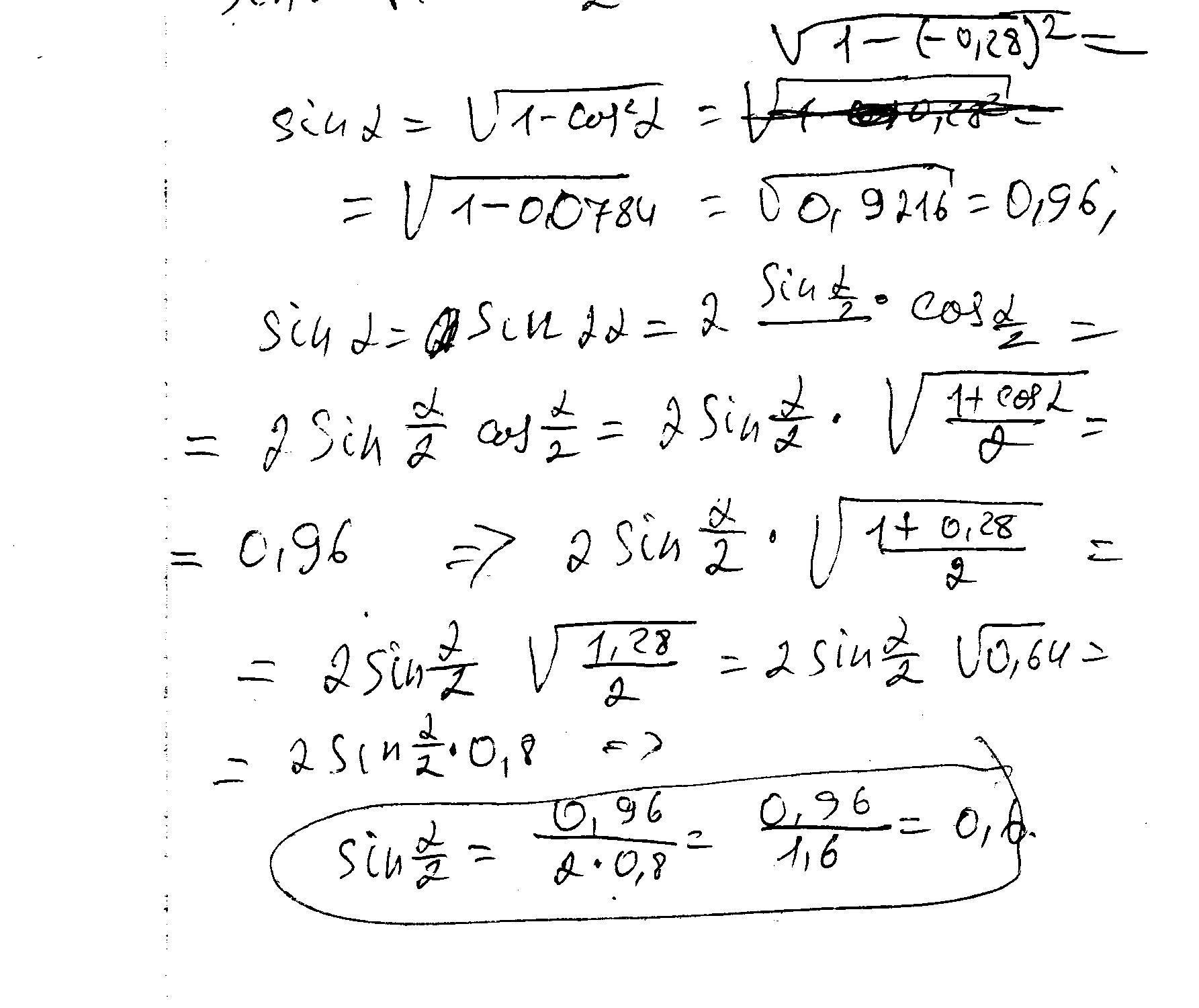
решение в скане.......хорошая задачка, спасибо. Я там когда вставлял -0Ю28 знак забыл. Подставьте, пожалуйста вместо 0,28 следующее (-0,28). Решение в остальном не меняется
Приложения:

Ответ дал:
0
Это правильное решение ?
Ответ дал:
0
Корень 1+0,28/2 . Сдесь нужно и вставить?
Ответ дал:
0
Думаю, что да, иначе бы не выложил. Но ошибаются все..
Ответ дал:
0
исправил.
Ответ дал:
0
Спасибо)
Вас заинтересует
2 года назад
2 года назад
7 лет назад
7 лет назад
9 лет назад
10 лет назад
10 лет назад