• Предмет: Алгебра
  • Автор: karinacot99
  • Вопрос задан 10 лет назад

помогите, пожалуйста!

Приложения:

Ответы

Ответ дал: Amway96rus
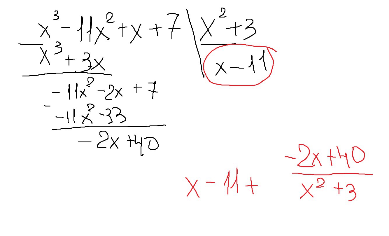
0
Держи...........................
Приложения:
Ответ дал: karinacot99
0
Спасибо большое!
Вас заинтересует