• Предмет: Геометрия
  • Автор: 7474578679
  • Вопрос задан 10 лет назад

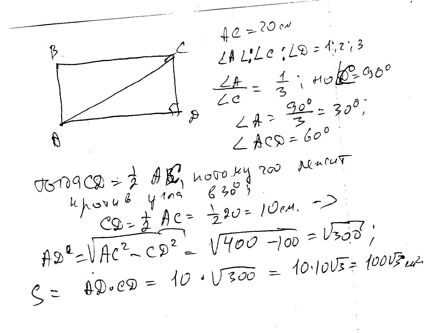
найдите площадь прямоугольника ABCD, у которого диагональ AC=20 см, и углы треугольника ADC относятся как 1:2:3

Ответы

Ответ дал: ужнеужели
0
решение в скане........
Приложения:
Ответ дал: 7474578679
0
спасибо
Ответ дал: ужнеужели
0
удачи Вам.
Вас заинтересует