Помоги,пожалуйста,с решением:
найти значение производной функции f(x)=4x^2+4x-корень из x,при x=1
Ответы
Ответ дал:
0
Решение
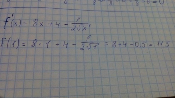
f(x)=4x^2+4x-√x, при x=1
f`(x) = 8x + 4 - 1/2√x
f`(1) = 8*1 + 4 - 1/2 = 12 - 1/2 = 11,5
f(x)=4x^2+4x-√x, при x=1
f`(x) = 8x + 4 - 1/2√x
f`(1) = 8*1 + 4 - 1/2 = 12 - 1/2 = 11,5
Ответ дал:
0
Сначала найдем производную данной функции, затем её значение при х=1
Ответ: 11,5
Ответ: 11,5
Приложения:

Вас заинтересует
2 года назад
2 года назад
7 лет назад
7 лет назад
9 лет назад
9 лет назад
10 лет назад
10 лет назад