напряженность поля в точке удаленной на расстояние 5 см от заряда равна 1,5*10^ н/кл какова напряжённость в 10 см от заряда (если можно напишите дано).
Ответы
Ответ дал:
0
Ответ:0,75*10^5 Н/Кл
Ответ дал:
0
спасибо но можете написать решение
Ответ дал:
0
Вы забыли квадрат в формуле)
Ответ дал:
0
Нужно их ровнять Е1=Е2
Ответ дал:
0
kq/r1^2=kq/r2^2
Ответ дал:
0
Но если мы приравняем, то находить ничего не нужно будет, нам же уже известно E1, и нужно найти E2
Ответ дал:
0
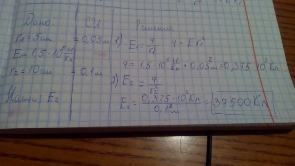
Должно быть правильно)
Приложения:

Ответ дал:
0
спс
Вас заинтересует
2 года назад
7 лет назад
9 лет назад
10 лет назад