• Предмет: Математика
  • Автор: энжи17
  • Вопрос задан 10 лет назад

17 решила) 19 объясните пожалуйста )

Приложения:

Ответы

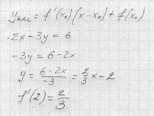
Ответ дал: математик2011
0
Ну, в общем как-то так!!!!!!!!!!!
Приложения:
Ответ дал: Marishkagm
0
y=(6-2x)/(-3) f'(2)=2*(-3)-(6-2x)*(-1)=-6+(6-2*2)=-6+2=-4
Приложения:
Вас заинтересует