Ответы
Ответ дал:
0
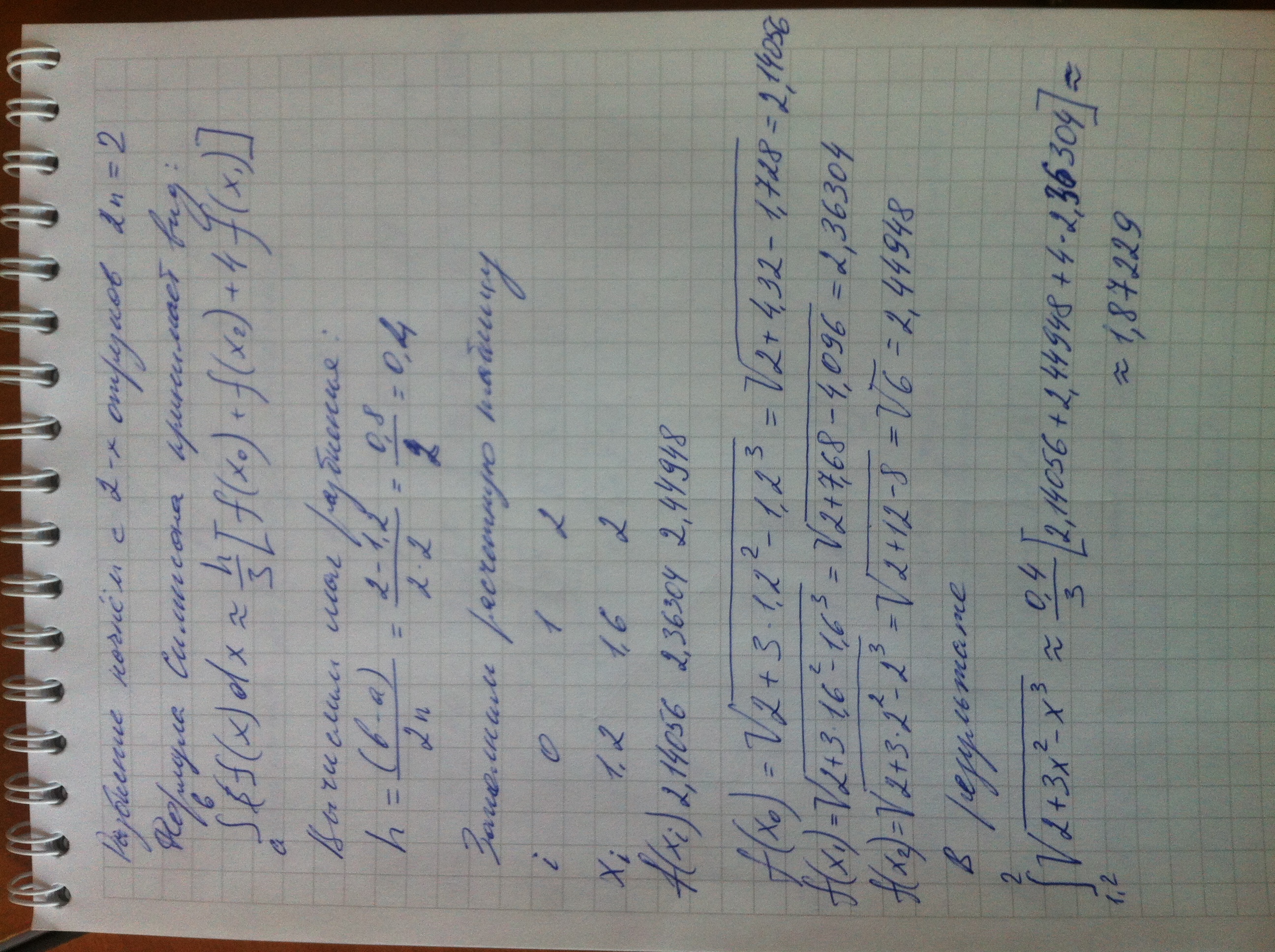
Вычислить определённый интеграл приближённо, с определённой точностью это значит надо отыскать такое приближённое значение, которое по модулю отличается от истины не более чем на 0,001.
Формула Симпсона для приближённого вычисления определённого интеграла имеет вид


- шаг
- сумма первого и последнего значения подынтегральной функции;
- сумма членов с чётными индексами умножается на 2;
- сумма членов с нечетными индексами умножается на 4.
Существует формула, которая сразу позволяет найти нужное количество отрезков (значение n) чтобы гарантированно достичь требуемой точности, но тогда придётся находить четвёртую производную. А находить четвёртую производную от такой подынтегральной функции это уже слишком ... Поэтому используем упрощённый метод оценки погрешности.
Решение см. во вложении.
Формула Симпсона для приближённого вычисления определённого интеграла имеет вид
Существует формула, которая сразу позволяет найти нужное количество отрезков (значение n) чтобы гарантированно достичь требуемой точности, но тогда придётся находить четвёртую производную. А находить четвёртую производную от такой подынтегральной функции это уже слишком ... Поэтому используем упрощённый метод оценки погрешности.
Решение см. во вложении.
Приложения:


Ответ дал:
0
спасибо но вы долго решали
Ответ дал:
0
Трудно совмещать работу с решением заданий. Уж не обессудьте.
Ответ дал:
0
это вы меня извините
Вас заинтересует
2 года назад
2 года назад
7 лет назад
7 лет назад
9 лет назад
9 лет назад