Ребят помогите кто может и с чем может , дали на паре сделать эти примеры тк болел , а я не знаю как их делать ( очень прошу помогите
Приложения:
Ответы
Ответ дал:
0
Решение данных заданий
Приложения:
Ответ дал:
0
Спасибо большое :*
Ответ дал:
0
Всегда пожалуйста
Ответ дал:
0
выполните проверку и поймете , что логарифм из -29 не существует. это неправильное решение
Ответ дал:
0
а где Вы увидели -29?
Ответ дал:
0
случайно так набрала получается log2 ( -2)=3 а это неправильно
Ответ дал:
0
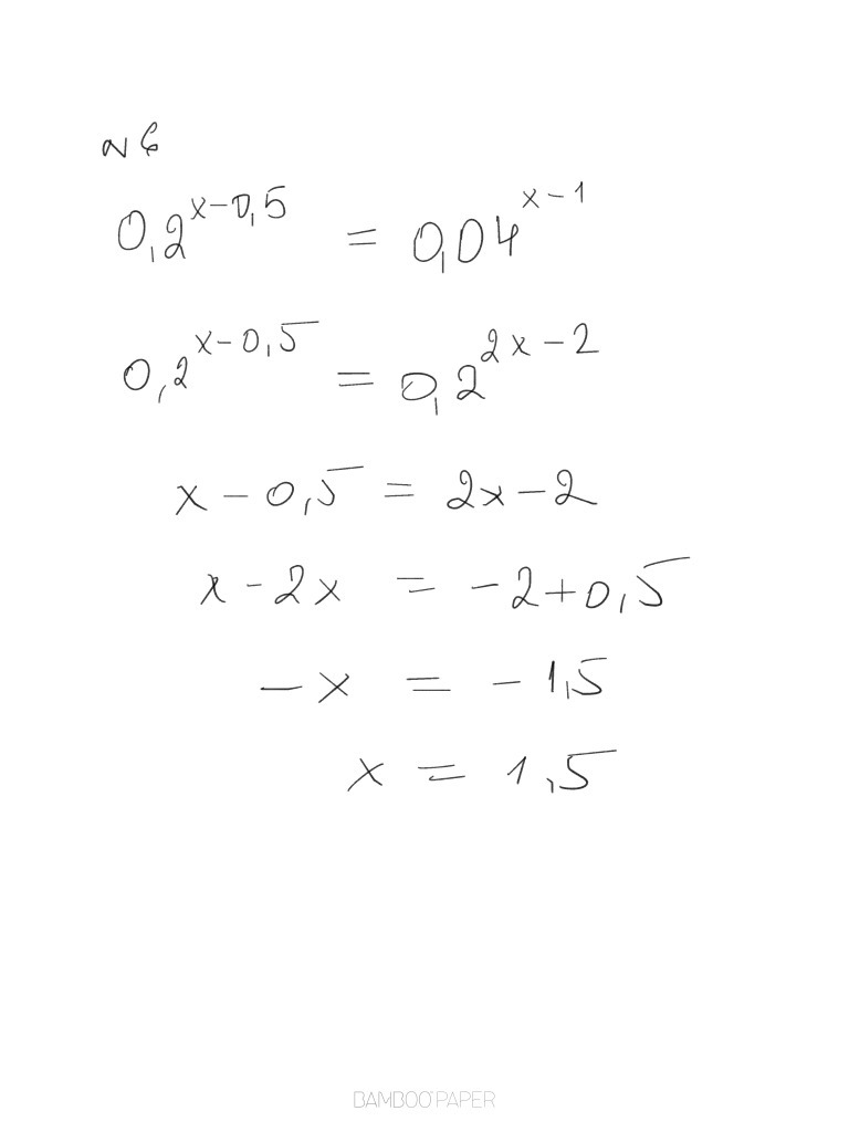
6.


x-0,5=2x-2
x=1,5
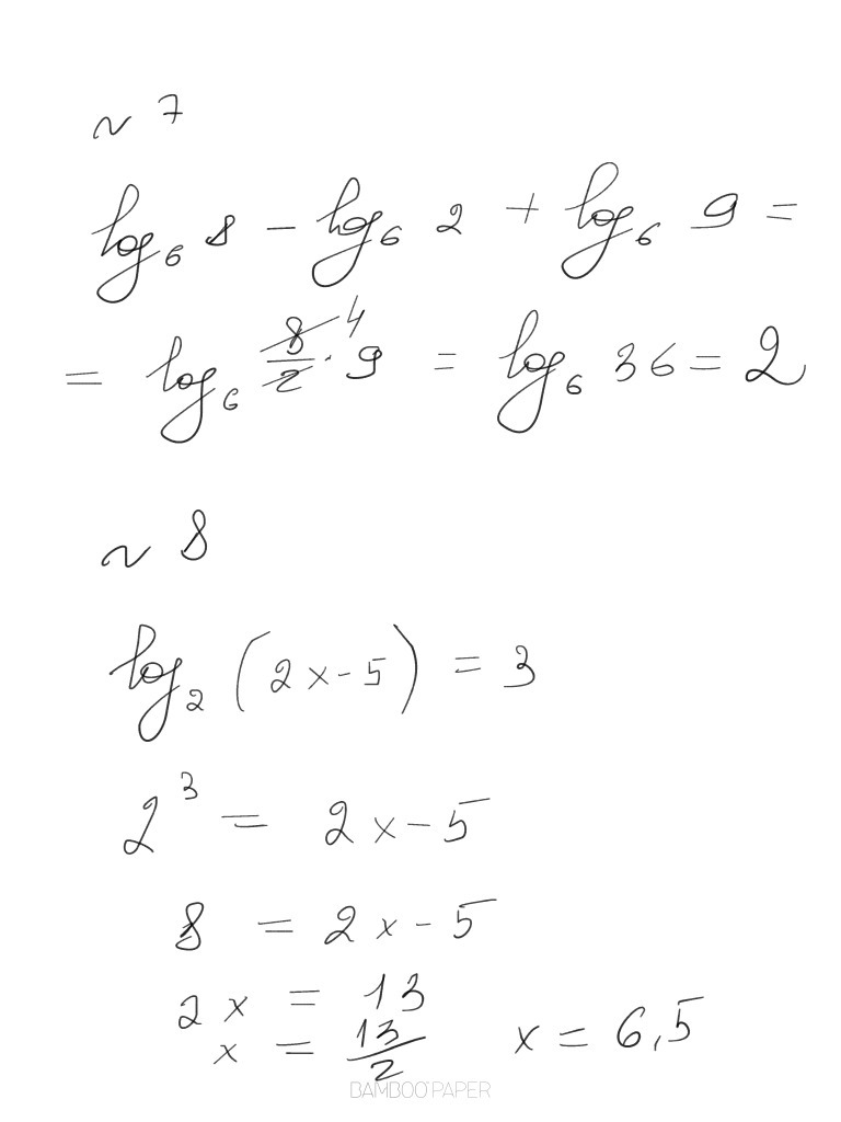
7.

8.

2x-5=8
2x=13
x=6,5
x-0,5=2x-2
x=1,5
7.
8.
2x-5=8
2x=13
x=6,5
Приложения:
Вас заинтересует
3 года назад
3 года назад
8 лет назад
8 лет назад
10 лет назад
10 лет назад
10 лет назад