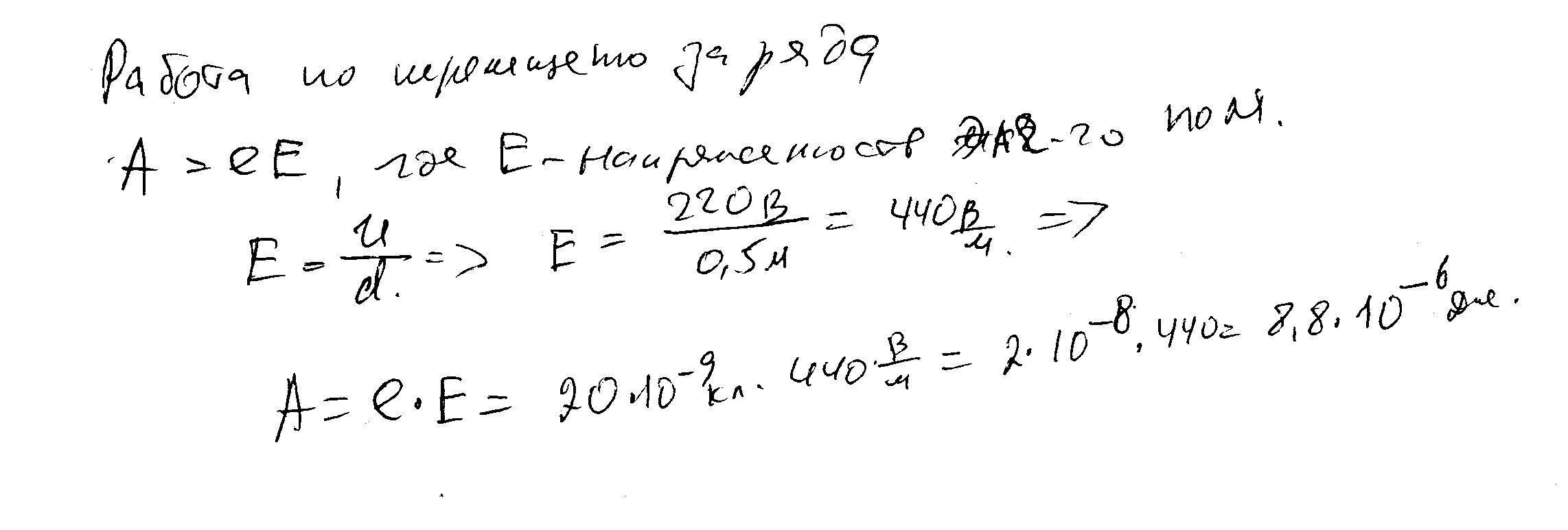
в однородном электрическом поле переместили заряд 20 мккл в направлении силовой линии на расстояниие 50см разность потенциалов между начальной и конечной точками равна 220 в.найти напряженность поля и работу электрического поля по перемещению заряда
Ответы
Ответ дал:
0
решение в скане...........
Приложения:

Вас заинтересует
2 года назад
7 лет назад
7 лет назад
9 лет назад
9 лет назад
10 лет назад