Ниже на разных языках программирования записана рекурсивная процедура (функция) A.
Сколько символов будет напечатано на экране при выполнении вызова A(4)?
Приложения:

Ответы
Ответ дал:
0
При каждом вызове функции она рисует собачку => Количество символов=количеству вызовов функции.
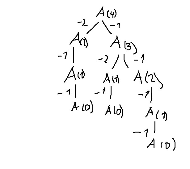
При вызове A(4) будут вызваны A(2) и A(3).
A(2) может вызвать только A(1), так как условие n>2 не выполняется. A(1), в свою очередь, может вызвать только A(0), а A(0) не может ничего вызвать, так как не выполняются оба условия.
A(3) вызывает A(1) и A(2). Что дальше - описано выше. Во вложении дерево.
Всего 10 символов будет напечатано.
Ответ:10
При вызове A(4) будут вызваны A(2) и A(3).
A(2) может вызвать только A(1), так как условие n>2 не выполняется. A(1), в свою очередь, может вызвать только A(0), а A(0) не может ничего вызвать, так как не выполняются оба условия.
A(3) вызывает A(1) и A(2). Что дальше - описано выше. Во вложении дерево.
Всего 10 символов будет напечатано.
Ответ:10
Приложения:

Ответ дал:
0
Благодарю за пояснение
Вас заинтересует
2 года назад
7 лет назад
7 лет назад
9 лет назад
9 лет назад
10 лет назад