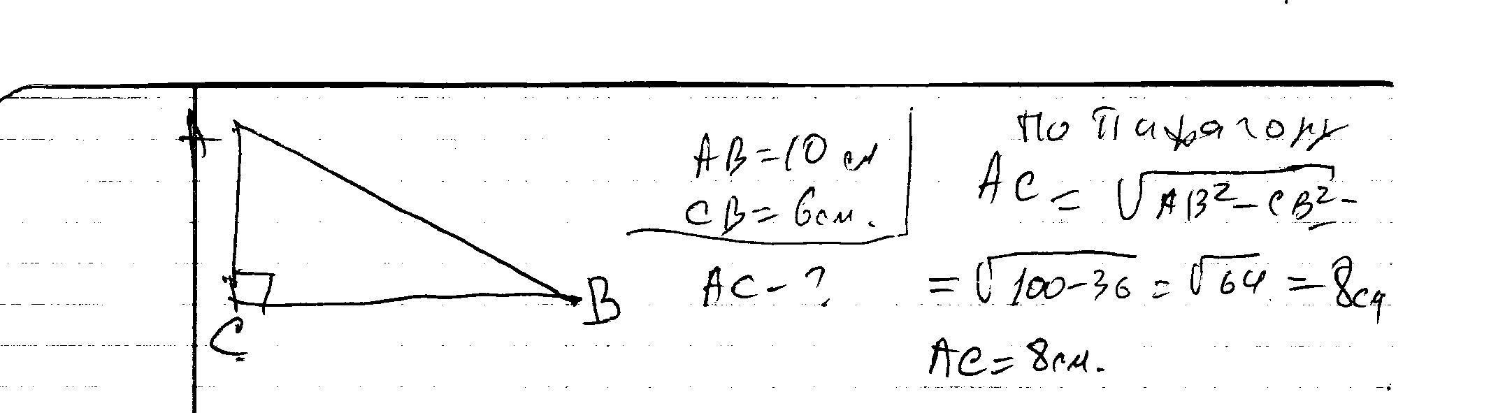
З точки А до площини альфа проведені похилі довжиною 10 см,проекція похилої на площину дорівнює 6 див. Знайти відстань від точки А до площини альфа.
Ответы
Ответ дал:
0
какие бы похилi не были, а довжина проекции это особое дело.
Приложения:

Ответ дал:
0
Cпасибо большое!!
Ответ дал:
0
Удачи Вам.
Ответ дал:
0
Вам тоже.
Вас заинтересует
2 года назад
2 года назад
7 лет назад
7 лет назад
9 лет назад
9 лет назад
10 лет назад