Ответы
Ответ дал:
0
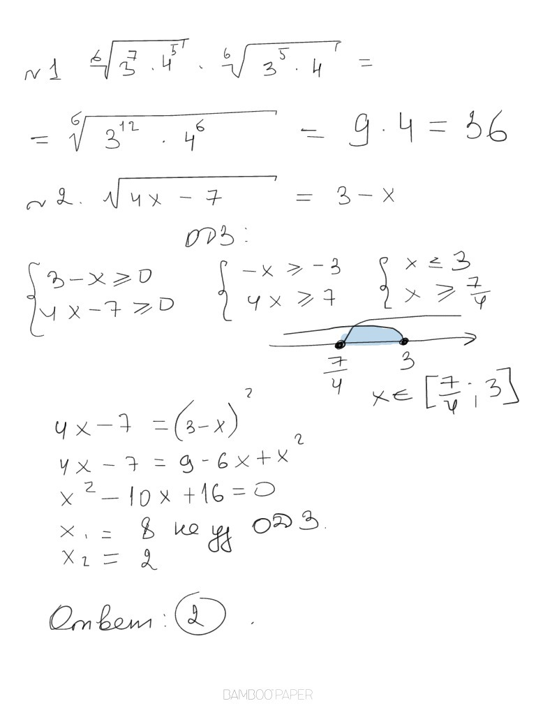
задание номер 2. возводим обе части в квадрат. получает квадратное уравнение x²-10x+16=0/ x1=8 x2=2. При х=2 равенство верно
Ответ дал:
0
ответ на задание номер 1 - 36
Ответ дал:
0
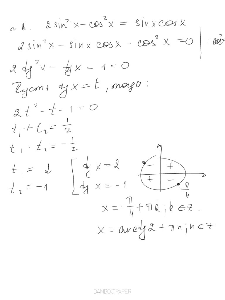
Решения нескольких заданий
Приложения:





Ответ дал:
0
Написано, что 8 не удовлетворяет ОДЗ. Посмотри какой там ОДЗ
Ответ дал:
0
А , все понял
Ответ дал:
0
обновлено, там 5 файлов
Ответ дал:
0
Спасибо большое)
Ответ дал:
0
А ты завтра утром в сети не будешЬ?
Вас заинтересует
2 года назад
2 года назад
7 лет назад
9 лет назад
10 лет назад